EasyManua.ls Logo

Mitsubishi Q00CPU - Numeric Values Which Can be Used in Sequence Programs

Mitsubishi Q00CPU
692 pages
Print Icon
To Next Page IconTo Next Page
To Next Page IconTo Next Page
To Previous Page IconTo Previous Page
To Previous Page IconTo Previous Page
Loading...
3
- 73
3.9 Numeric Values which can be Used in Sequence Programs
3
SEQUENCE PROGRAM CONFIGURATION AND
EXECUTION CONDITIONS
3.9 Numeric Values which can be Used in Sequence Programs
Numeric and alphabetic data are expressed by "0" (OFF) and "1" (ON) numerals in the
CPU module.
This expression form is called "binary code" (BIN).
The hexadecimal (HEX) expression form in which BIN data are expressed in 4-bit units,
and the BCD (binary coded decimal) expression form are applicable to the CPU module.
Real numbers may also be used.( Section 3.9.4)
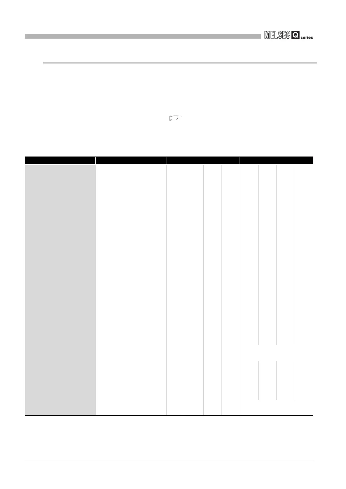
Table3.8 shows the numeric expressions of BIN, HEX, BCD and DEC (decimal).
Table3.8 BIN, HEX, BCD, and Decimal Numeric Expressions
DEC (Decimal) HEX (Hexadecimal) BIN (Binary) BCD(Binary Coded Decimal)
00 0 0
11 1 1
2 2 10 10
3 3 11 11
9 9 1001 1001
10 A 1010 1 0000
11 B 1011 1 0001
12 C 1100 1 0010
13 D 1101 1 0011
14 E 1110 1 0100
15 F 1111 1 0101
16 10 1 0000 1 0110
17 11 1 0001 1 0111
47 2F 10 1111 100 0111
32766 7FFE 0111 1111 1111 1110 --
32767 7FFF 0111 1111 1111 1111 --
-32768 8000 1000 0000 0000 0000 1000 0000 0000 0000
-32767 8001 1000 0000 0000 0001 1000 0000 0000 0001
-2 FFFE 1111 1111 1111 1110 --
-1 FFFF 1111 1111 1111 1111 --

Table of Contents

Other manuals for Mitsubishi Q00CPU

Related product manuals