EasyManua.ls Logo

Motorola ASTRO XTS 3000 R

Motorola ASTRO XTS 3000 R
236 pages
To Next Page IconTo Next Page
To Next Page IconTo Next Page
To Previous Page IconTo Previous Page
To Previous Page IconTo Previous Page
Loading...
10-22
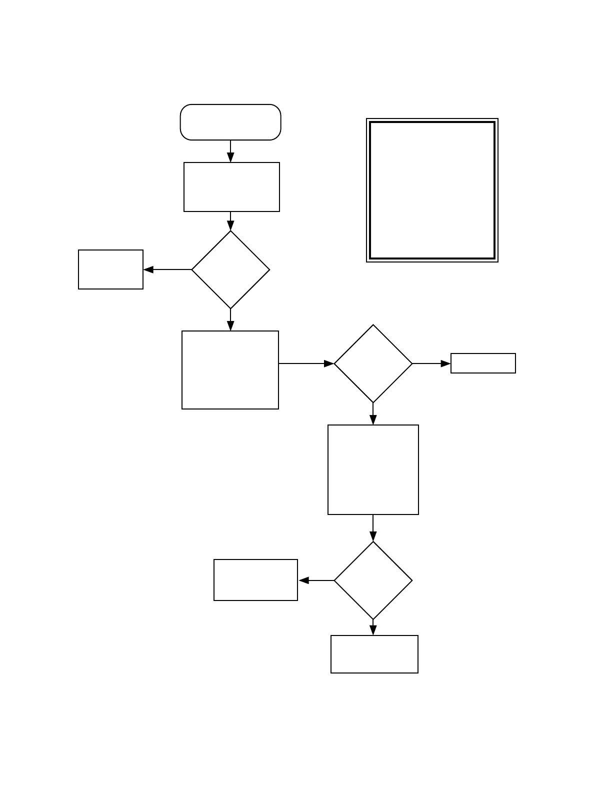
Chart 20. Volume Set Error
Synopsis
This chart relates to a failure
in volume set knob. Basic
Failure modes are as follows:
1) Failure in control top/ptt
flex circuit.
2) Bad connection.
3) Defective volume pot.
4) Defective A/D port in host
C.
5) Problem in receive audio
circuit.
Volume Set
Error
Using voltmeter,
measure voltage at
U701-25 while
turning volume pot
from min to max.
Voltage should vary
from 0 to 5VDC.
Voltage
functional?
Verify connections
and control top/ptt
flex connections.
No
Yes
Measure resistance
from pin 2 of SI
(controls flex assembly)
to GND while moving
volume pot through
range; value should
vary from 50K to 0K.
Volume
pot OK?
Replace
front cover (housing)
assembly.
No
Yes
MAEPF-26034-O
Replace U701.
Verify operation of
volume knob per
"Button Check" flow
chart C.18.
Refer to "No
Receive Audio"
flow chart C.27.
Yes
No
Volume checks
OK?

Table of Contents

Other manuals for Motorola ASTRO XTS 3000 R

Related product manuals