EasyManua.ls Logo

Motorola P100 Series - Page 326

Motorola P100 Series
336 pages
To Next Page IconTo Next Page
To Next Page IconTo Next Page
To Previous Page IconTo Previous Page
To Previous Page IconTo Previous Page
Loading...
13-72 Circuit Board/Schematic Diagram and Parts List UHF1 - MDC/QCII R&TTE (403–447 MHz)
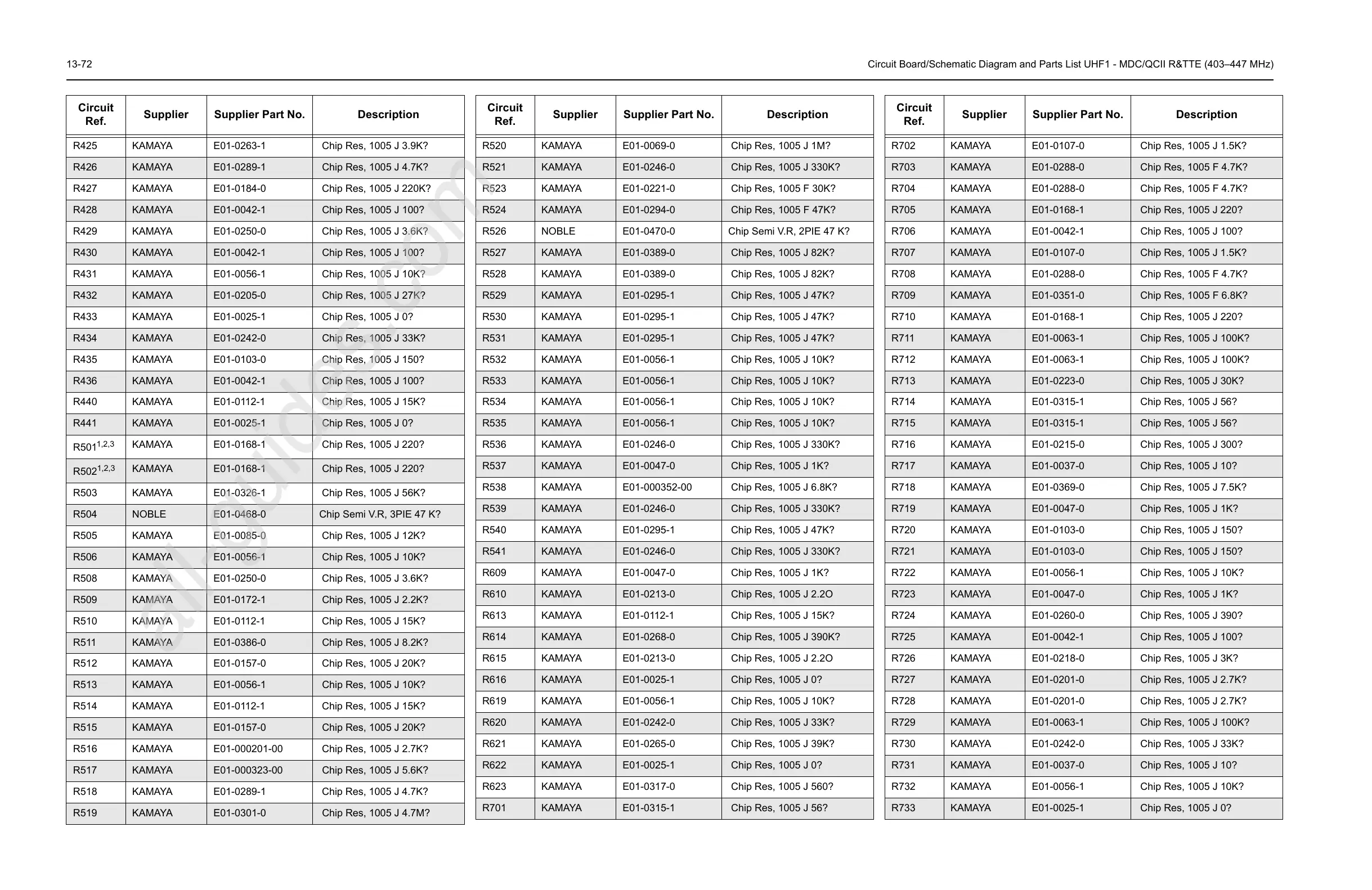
R425 KAMAYA E01-0263-1 Chip Res, 1005 J 3.9K?
R426 KAMAYA E01-0289-1 Chip Res, 1005 J 4.7K?
R427 KAMAYA E01-0184-0 Chip Res, 1005 J 220K?
R428 KAMAYA E01-0042-1 Chip Res, 1005 J 100?
R429 KAMAYA E01-0250-0 Chip Res, 1005 J 3.6K?
R430 KAMAYA E01-0042-1 Chip Res, 1005 J 100?
R431 KAMAYA E01-0056-1 Chip Res, 1005 J 10K?
R432 KAMAYA E01-0205-0 Chip Res, 1005 J 27K?
R433 KAMAYA E01-0025-1 Chip Res, 1005 J 0?
R434 KAMAYA E01-0242-0 Chip Res, 1005 J 33K?
R435 KAMAYA E01-0103-0 Chip Res, 1005 J 150?
R436 KAMAYA E01-0042-1 Chip Res, 1005 J 100?
R440 KAMAYA E01-0112-1 Chip Res, 1005 J 15K?
R441 KAMAYA E01-0025-1 Chip Res, 1005 J 0?
R501
1,2,3
KAMAYA E01-0168-1 Chip Res, 1005 J 220?
R502
1,2,3
KAMAYA E01-0168-1 Chip Res, 1005 J 220?
R503 KAMAYA E01-0326-1 Chip Res, 1005 J 56K?
R504 NOBLE E01-0468-0 Chip Semi V.R, 3PIE 47 K?
R505 KAMAYA E01-0085-0 Chip Res, 1005 J 12K?
R506 KAMAYA E01-0056-1 Chip Res, 1005 J 10K?
R508 KAMAYA E01-0250-0 Chip Res, 1005 J 3.6K?
R509 KAMAYA E01-0172-1 Chip Res, 1005 J 2.2K?
R510 KAMAYA E01-0112-1 Chip Res, 1005 J 15K?
R511 KAMAYA E01-0386-0 Chip Res, 1005 J 8.2K?
R512 KAMAYA E01-0157-0 Chip Res, 1005 J 20K?
R513 KAMAYA E01-0056-1 Chip Res, 1005 J 10K?
R514 KAMAYA E01-0112-1 Chip Res, 1005 J 15K?
R515 KAMAYA E01-0157-0 Chip Res, 1005 J 20K?
R516 KAMAYA E01-000201-00 Chip Res, 1005 J 2.7K?
R517 KAMAYA E01-000323-00 Chip Res, 1005 J 5.6K?
R518 KAMAYA E01-0289-1 Chip Res, 1005 J 4.7K?
R519 KAMAYA E01-0301-0 Chip Res, 1005 J 4.7M?
Circuit
Ref.
Supplier Supplier Part No. Description
R520 KAMAYA E01-0069-0 Chip Res, 1005 J 1M?
R521 KAMAYA E01-0246-0 Chip Res, 1005 J 330K?
R523 KAMAYA E01-0221-0 Chip Res, 1005 F 30K?
R524 KAMAYA E01-0294-0 Chip Res, 1005 F 47K?
R526 NOBLE E01-0470-0 Chip Semi V.R, 2PIE 47 K?
R527 KAMAYA E01-0389-0 Chip Res, 1005 J 82K?
R528 KAMAYA E01-0389-0 Chip Res, 1005 J 82K?
R529 KAMAYA E01-0295-1 Chip Res, 1005 J 47K?
R530 KAMAYA E01-0295-1 Chip Res, 1005 J 47K?
R531 KAMAYA E01-0295-1 Chip Res, 1005 J 47K?
R532 KAMAYA E01-0056-1 Chip Res, 1005 J 10K?
R533 KAMAYA E01-0056-1 Chip Res, 1005 J 10K?
R534 KAMAYA E01-0056-1 Chip Res, 1005 J 10K?
R535 KAMAYA E01-0056-1 Chip Res, 1005 J 10K?
R536 KAMAYA E01-0246-0 Chip Res, 1005 J 330K?
R537 KAMAYA E01-0047-0 Chip Res, 1005 J 1K?
R538 KAMAYA E01-000352-00 Chip Res, 1005 J 6.8K?
R539 KAMAYA E01-0246-0 Chip Res, 1005 J 330K?
R540 KAMAYA E01-0295-1 Chip Res, 1005 J 47K?
R541 KAMAYA E01-0246-0 Chip Res, 1005 J 330K?
R609 KAMAYA E01-0047-0 Chip Res, 1005 J 1K?
R610 KAMAYA E01-0213-0 Chip Res, 1005 J 2.2O
R613 KAMAYA E01-0112-1 Chip Res, 1005 J 15K?
R614 KAMAYA E01-0268-0 Chip Res, 1005 J 390K?
R615 KAMAYA E01-0213-0 Chip Res, 1005 J 2.2O
R616 KAMAYA E01-0025-1 Chip Res, 1005 J 0?
R619 KAMAYA E01-0056-1 Chip Res, 1005 J 10K?
R620 KAMAYA E01-0242-0 Chip Res, 1005 J 33K?
R621 KAMAYA E01-0265-0 Chip Res, 1005 J 39K?
R622 KAMAYA E01-0025-1 Chip Res, 1005 J 0?
R623 KAMAYA E01-0317-0 Chip Res, 1005 J 560?
R701 KAMAYA E01-0315-1 Chip Res, 1005 J 56?
Circuit
Ref.
Supplier Supplier Part No. Description
R702 KAMAYA E01-0107-0 Chip Res, 1005 J 1.5K?
R703 KAMAYA E01-0288-0 Chip Res, 1005 F 4.7K?
R704 KAMAYA E01-0288-0 Chip Res, 1005 F 4.7K?
R705 KAMAYA E01-0168-1 Chip Res, 1005 J 220?
R706 KAMAYA E01-0042-1 Chip Res, 1005 J 100?
R707 KAMAYA E01-0107-0 Chip Res, 1005 J 1.5K?
R708 KAMAYA E01-0288-0 Chip Res, 1005 F 4.7K?
R709 KAMAYA E01-0351-0 Chip Res, 1005 F 6.8K?
R710 KAMAYA E01-0168-1 Chip Res, 1005 J 220?
R711 KAMAYA E01-0063-1 Chip Res, 1005 J 100K?
R712 KAMAYA E01-0063-1 Chip Res, 1005 J 100K?
R713 KAMAYA E01-0223-0 Chip Res, 1005 J 30K?
R714 KAMAYA E01-0315-1 Chip Res, 1005 J 56?
R715 KAMAYA E01-0315-1 Chip Res, 1005 J 56?
R716 KAMAYA E01-0215-0 Chip Res, 1005 J 300?
R717 KAMAYA E01-0037-0 Chip Res, 1005 J 10?
R718 KAMAYA E01-0369-0 Chip Res, 1005 J 7.5K?
R719 KAMAYA E01-0047-0 Chip Res, 1005 J 1K?
R720 KAMAYA E01-0103-0 Chip Res, 1005 J 150?
R721 KAMAYA E01-0103-0 Chip Res, 1005 J 150?
R722 KAMAYA E01-0056-1 Chip Res, 1005 J 10K?
R723 KAMAYA E01-0047-0 Chip Res, 1005 J 1K?
R724 KAMAYA E01-0260-0 Chip Res, 1005 J 390?
R725 KAMAYA E01-0042-1 Chip Res, 1005 J 100?
R726 KAMAYA E01-0218-0 Chip Res, 1005 J 3K?
R727 KAMAYA E01-0201-0 Chip Res, 1005 J 2.7K?
R728 KAMAYA E01-0201-0 Chip Res, 1005 J 2.7K?
R729 KAMAYA E01-0063-1 Chip Res, 1005 J 100K?
R730 KAMAYA E01-0242-0 Chip Res, 1005 J 33K?
R731 KAMAYA E01-0037-0 Chip Res, 1005 J 10?
R732 KAMAYA E01-0056-1 Chip Res, 1005 J 10K?
R733 KAMAYA E01-0025-1 Chip Res, 1005 J 0?
Circuit
Ref.
Supplier Supplier Part No. Description
All manuals and user guides at all-guides.com
all-guides.com

Table of Contents

Other manuals for Motorola P100 Series

Related product manuals