EasyManua.ls Logo

NAD 214 - Page 13

NAD 214
15 pages
Print Icon
To Next Page IconTo Next Page
To Next Page IconTo Next Page
To Previous Page IconTo Previous Page
To Previous Page IconTo Previous Page
Loading...
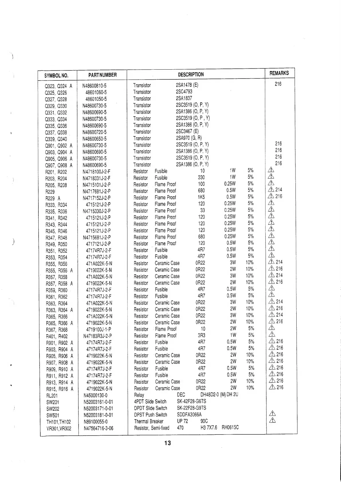
SYMBOL
NO.
Q323,
Q324
A
Q325,
Q326
Q327,
Q328
Q329,
Q330
Q331,
Q332
Q333,
Q334
Q335,
Q336
Q337,
Q338
Q339,
Q340
Q901,
Q902
Q903,
Q904
Q905,
Q906
Q907,
Q908
R201,
R202
R203,
R204
R205,
R208
R229
R229
A
R333,
R334
R335,
R336
A341,
R342
R343,
R344
R345,
R346
R347,
R348
R349,
R350
R351,
R352
R363,
R354
R355,
R356
R355,
R356
A
R357,
R358
R357,
R358
A
R359,
R360
R361,
R362
A363,
R364
A363,
R364
A
R365,
R366
R365,
R366
A
R367,
R368
R401,
R402
R901,
R902
A
R903,
R904
A
R905,
R9O6
A
R907,
R908
A
A
A
A
A
rrr
>
R909,
R910
R911,
RO2
R913,
R914
R915,
R916
RL201
SW201
SW202
SW501
TH104,TH102
VR301,VR302
De
ase
NC
a
de
PARTNUMBER
N48600810-5
48601060-5
48601050-5
N48600730-5
N48600690-5
N48600730-5
N48600690-5
N48600720-5
N48600650-5
N48600730-5
N48600690-5
N48600730-5
N48600690-5
N4718100J-2-F
N4718331J-2-F
N4715101J-2-P
N4717681J-2-P
N4717152J-2-P
4715121J-2-P
N4715330J-2-P
4715121J-2-P
4715121J-2-P
4715121J-2-P
N4715681J-2-P
4717121J-2-P
47174R7J-2-F
47174R7J-2-F
471A022K-5-N
4719022K-5-N
471A022K-5-N
4719022K-5-N
47174R7J-2-F
47174R7J-2-F
471A022k-5-N
4749022K-5-N
474A022K-5-N
4719022K-5-N
4719100J-1-P
N47183R3J-2-P
47174R7J-2-F
47174R7J-2-F
4719022K-5-N
4719022K-5-N
47174R7J-2-F
47174R7J-2-F
4719022K-5-N
4719022K-5-N
N45000130-0
N52003161-0-01
N52003171-0-01
N52003181-0-01
N89100055-0
N47564716-3-06
Transistor
Transistor
Transistor
Transistor
Transistor
Transistor
Transistor
Transistor
Transistor
Transistor
Transistor
Transistor
Transistor
Resistor
Fusible
Resistor
Fusible
DESCRIPTION
2SA1478
(E)
Resistor
Flame
Proof
100
0.25W
Resistor
Flame
Proof
680
0.5W
Resistor
Fiame
Proof
1K5
0.5W
Resistor
Flame
Proof
120
0.25W
Resistor
Fiame
Proof
33
0.25W
Resistor
Flame
Proof
120
0.25W
Resistor
Flame
Proof
120
0.25W
Resistor
Flame
Proof
120
0.25W
Resistor
Flame
Proof
680
0.25W
Resistor
©
Flame
Proof
120
0.5W
Resistor
Fusible
4R7
0.5W
Resistor
Fusible
4R7
0.5W
Resistor
Ceramic
Case
QR22
3W
Resistor
Ceramic
Case
OR22
ow
Resistor
Ceramic
Case
0R22
3W
Resistor
Ceramic
Case
OR22
2W
Resistor
Fusible
4R7
0.5W
Resistor
Fusible
4R7
0.5W
Resistor
Ceramic
Case
OR22
3W
Resistor
Ceramic
Case
OR22
ow
Resistor
Ceramic
Case
0R22
3W
Resistor
Ceramic
Case
0R22
2W
Resistor
©
Flame
Proof
10
2W
Resistor
Flame
Proof
3R3
iW
Resistor
Fusible
4R7
0.5W
Resistor
Fusible
4R7
0.5W
Resistor
©
Ceramic
Case
0R22
2W
Resistor
Ceramic
Case
OR22
2W
Resistor
Fusible
4R7
0.5W
Resistor
Fusible
4R7
0.5W
Resistor
Ceramic
Case
0R22
2W
Resistor
Ceramic
Case
OR22
2W
Relay
DEC
DH48D2-0
(M)
DH
2U
4PDT
Slide
Switch
SK-42F28-G6TS
DPDT
Slide
Switch
SK-22F28-G9TS
DPST
Push
Switch
SDDFA3066A
Thermal
Breaker
UP
72
90C
Resistor,
Semi-fixed
470
H3
7X7.6
RH0615C
13
5%
5%
5%
5%
5%
5%
5%
5%
5%
3%
5%
5%
5%
5%
10%
10%
10%
10%
5%
5%
10%
10%
10%
10%
REMARKS
216
216
rm
re
—_
—o
>
~
rm
rm
Po
Pr
nPrP
HD
>
reapers
aor
Dm
>
ro
ro
Po
TP
-
a
x
re
>PBPEBEBEBEBEEEEBBEBEPEEEEEEEEEEEEBE
Pr
pro
po
Po
PY
PO
PY
PO
we
>>

Related product manuals