EasyManua.ls Logo

Panasonic CS-A18JKD - Technical Data; Thermostat Characteristics

Panasonic CS-A18JKD
68 pages
Print Icon
To Next Page IconTo Next Page
To Next Page IconTo Next Page
To Previous Page IconTo Previous Page
To Previous Page IconTo Previous Page
Loading...
56
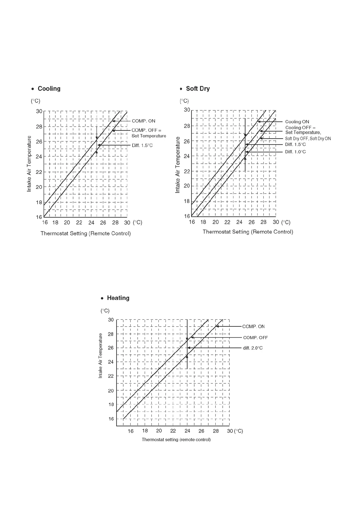
17 Technical Data
17.1. Thermostat Characteristics

Table of Contents

Related product manuals