EasyManua.ls Logo

Panasonic CS-PC30EKF - Sound Data

Panasonic CS-PC30EKF
64 pages
Print Icon
To Next Page IconTo Next Page
To Next Page IconTo Next Page
To Previous Page IconTo Previous Page
To Previous Page IconTo Previous Page
Loading...
53
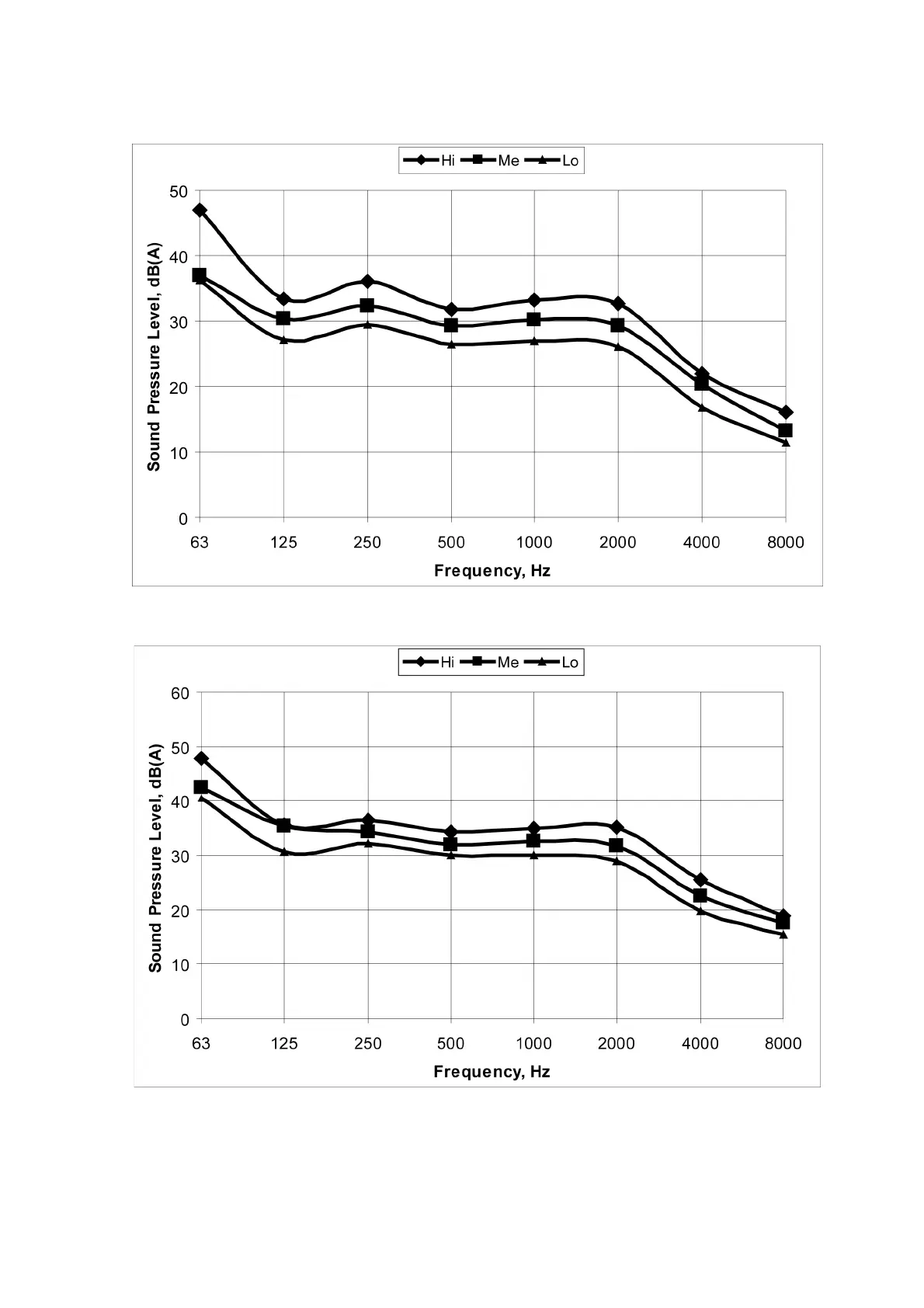
15.5. Sound Data
15.5.1. CS-PC30EKF CU-PC30EKF
15.5.2. CS-PC36EKF CU-PC36EKF

Related product manuals