EasyManua.ls Logo

Panasonic CU-PC18KKF - Operation Characteristics

Panasonic CU-PC18KKF
77 pages
Print Icon
To Next Page IconTo Next Page
To Next Page IconTo Next Page
To Previous Page IconTo Previous Page
To Previous Page IconTo Previous Page
Loading...
57
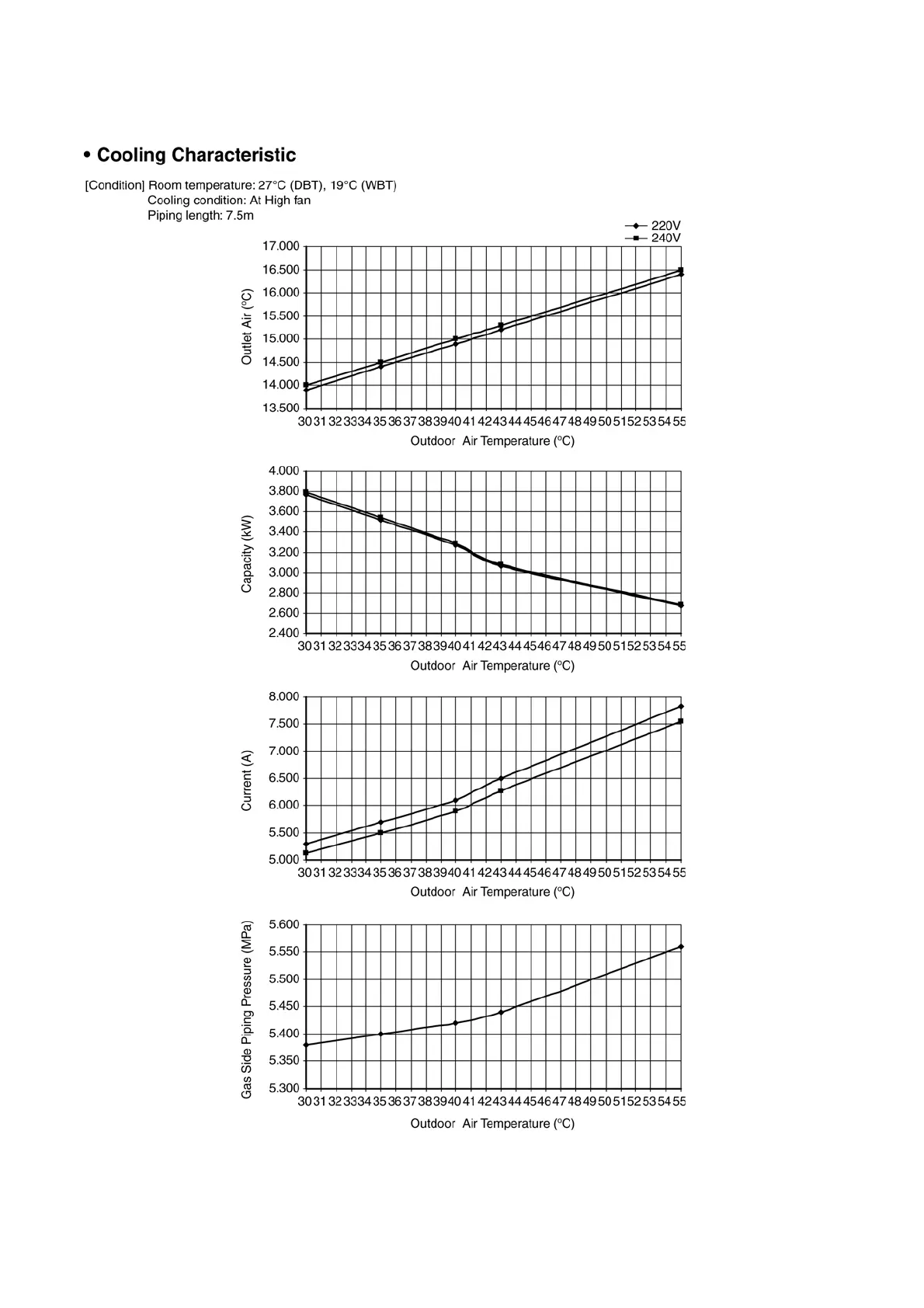
17.2. Operation Characteristics
17.2.1. CS-PC12KKF CU-PC12KKF

Table of Contents

Related product manuals