EasyManua.ls Logo

Panasonic FPG-C32T2H - Page 125

Panasonic FPG-C32T2H
440 pages
Print Icon
To Next Page IconTo Next Page
To Next Page IconTo Next Page
To Previous Page IconTo Previous Page
To Previous Page IconTo Previous Page
Loading...
6-35
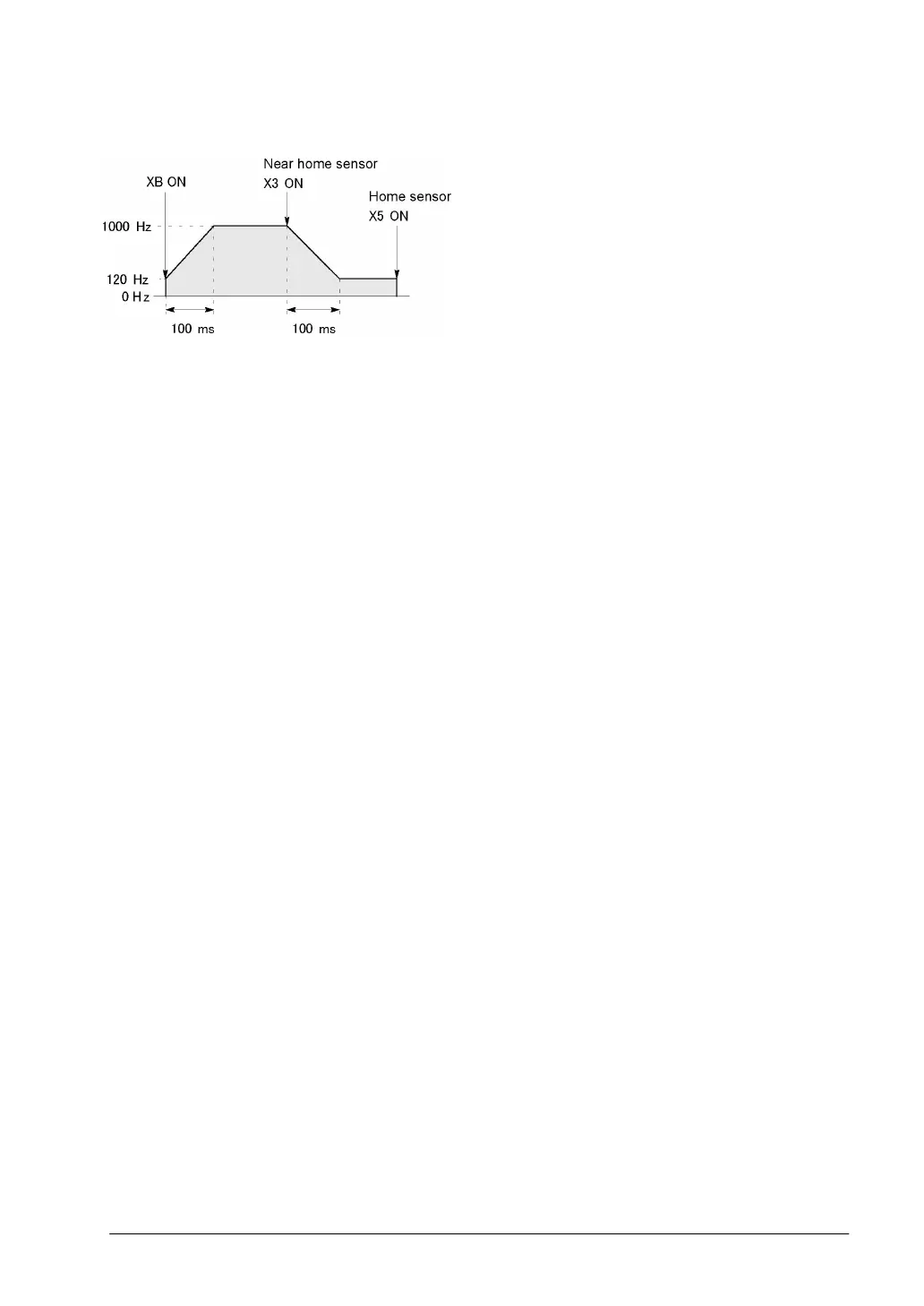
Pulse output diagram

Table of Contents

Related product manuals