EasyManua.ls Logo

Philips HTS3510 - Remote Control Does Not Work

Philips HTS3510
66 pages
Print Icon
To Next Page IconTo Next Page
To Next Page IconTo Next Page
To Previous Page IconTo Previous Page
To Previous Page IconTo Previous Page
Loading...
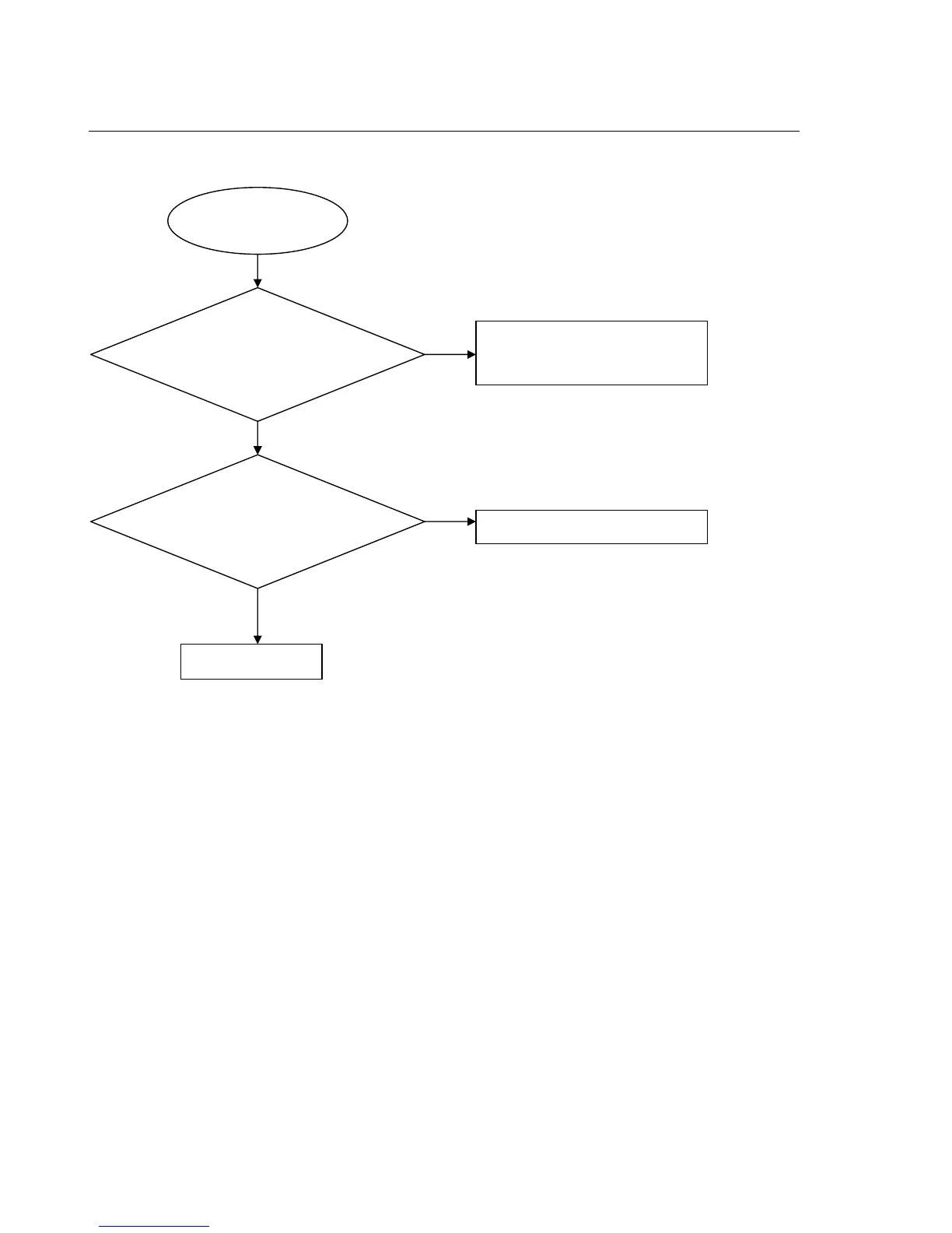
5-2 Trouble shooting Chart
Remote control does not work
Remote control
does not work
Go
Check whether the remote
controller’s battery is
exhausted or not.
No
Replace the battery for remote
controller
Check the IR601 power
supply is OK, IR1’3 is about
3.3V
Yes
Check the +3.3V net on front board
No
Yes
Replace IR601

Other manuals for Philips HTS3510

Related product manuals