EasyManua.ls Logo

Philips HTS3510 - Audio, Video, and Connectivity Problems

Philips HTS3510
66 pages
Print Icon
To Next Page IconTo Next Page
To Next Page IconTo Next Page
To Previous Page IconTo Previous Page
To Previous Page IconTo Previous Page
Loading...
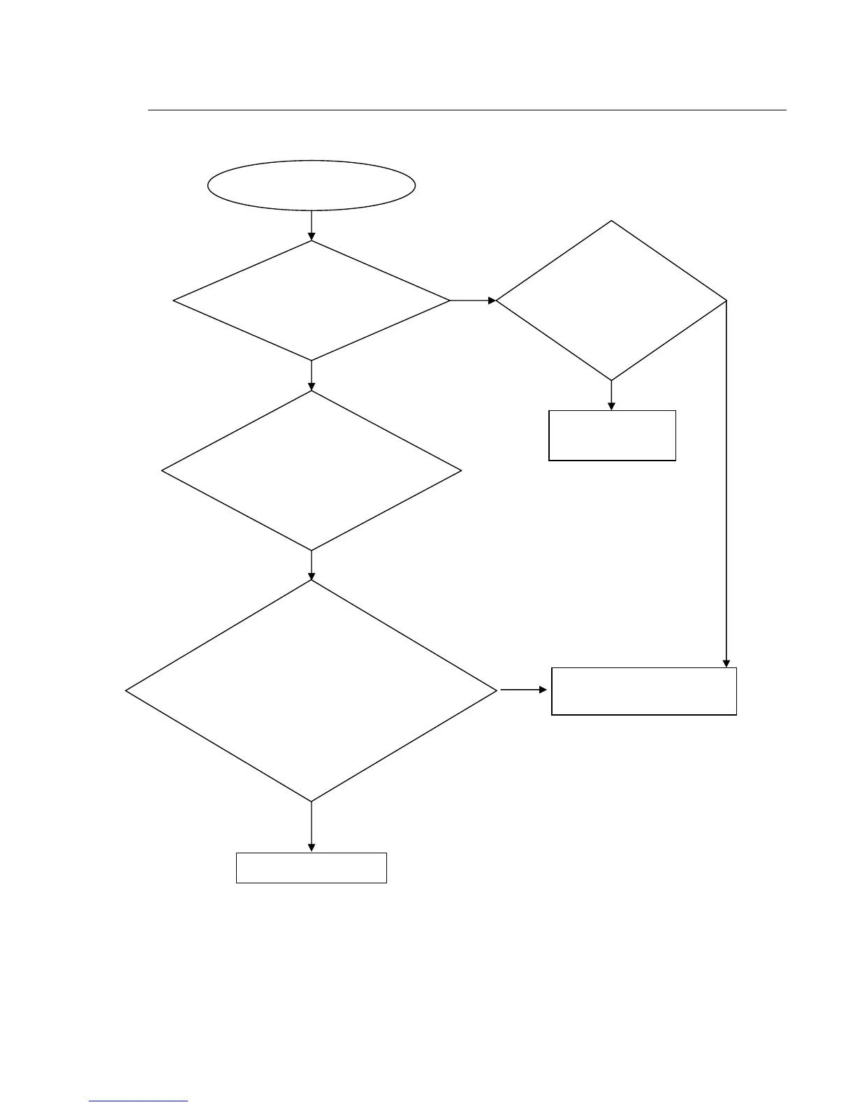
5-3 Trouble shooting Chart
No audio output
Check whether the +42V
power is right at the
XP703 on am board
No audio output
Go
No
Check the 22pin FFC
connection and XS702 is
fixing OK bettew the main
board and am board
Yes
1. Check whether the control signal is
right from the U24’15,16,33,and the
signal at the XP11’10,11,15pin
2. Check whether the audio signal is right
Yes
Yes
Replace the am board
No
Replace U24 on main board,or
replace main board
Check the
connector XP1 pin
7 on main board is
3.3V
Yes
Refer to Power
supply board part
No
from the U11'211,213,214,223,225,226, and
the signal at the XP11',2,3,4,5,8pin

Other manuals for Philips HTS3510

Related product manuals