EasyManua.ls Logo

Polytec PSV-500-3D - Scanner PSV-I-5 Xx; Video Camera (Only PSV-I-500;PSV-I-560)

Polytec PSV-500-3D
106 pages
Print Icon
To Next Page IconTo Next Page
To Next Page IconTo Next Page
To Previous Page IconTo Previous Page
To Previous Page IconTo Previous Page
Loading...
7-21
7 Technical Specifications
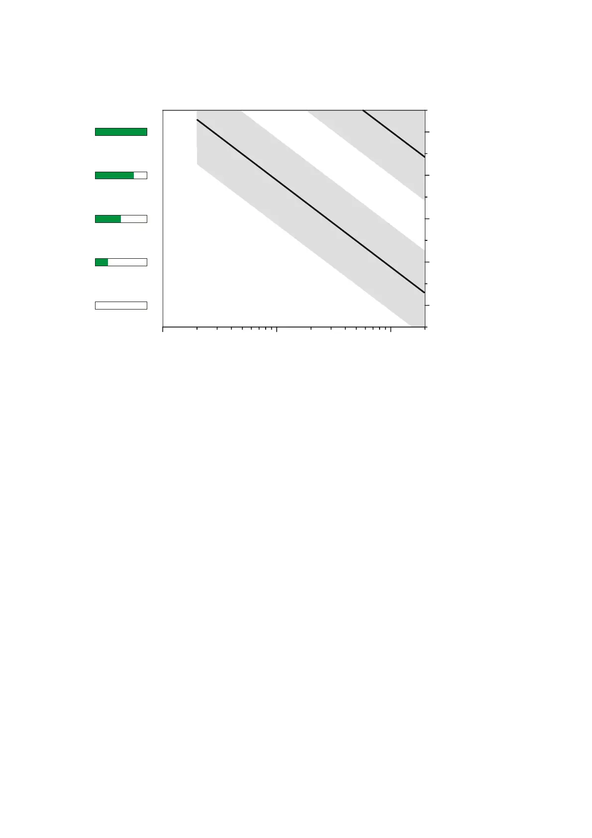
Signal Level Depending on Surface and Stand-off Distance
Figure 7.5: Typical signal level range depending on the stand-off distance measured on a diffuse white surface
and 3M Scotchlite™ Tape (retro-reflective film)
7.5.6 Scanner PSV-I-5xx
7.5.7 Video Camera (Only PSV-I-500/PSV-I-560)
Diffuse white
surface
SIGNAL level
Stand-off distance [m]
Internal signal [dBm]
0.1
Retro-reflective
film
1
-50
-20
-30
-40
-10
10
20
Type: Servo-controlled Galvo scanner
Maximum deflection: horizontal: ±25°
vertical: ±20°
Angular resolution: 16-Bit
Point stability: < 0.001°/hour (after 2 h warm-up period, with
constant ambient temperature)
Video system: full HD
Image sensor: 1/2.8-type CMOS
Signal-to-noise ratio: > 50 dB
Zoom: 20x optical zoom
Lens: F1.6 to F3.5/f = 4.7…94 mm
Active pixels (Hx V): @ wide end: ca. 55° x 32°
@ tele end: ca. 3° x
Minimum stand-off distance: @ wide end: 10 mm
@ tele end: 1000 mm
Minimum illumination: 1.5 Lux

Table of Contents

Related product manuals