EasyManua.ls Logo

Potterton Paramount five 60 - Buffer Storage Tank

Potterton Paramount five 60
156 pages
Print Icon
To Next Page IconTo Next Page
To Next Page IconTo Next Page
To Previous Page IconTo Previous Page
To Previous Page IconTo Previous Page
Loading...
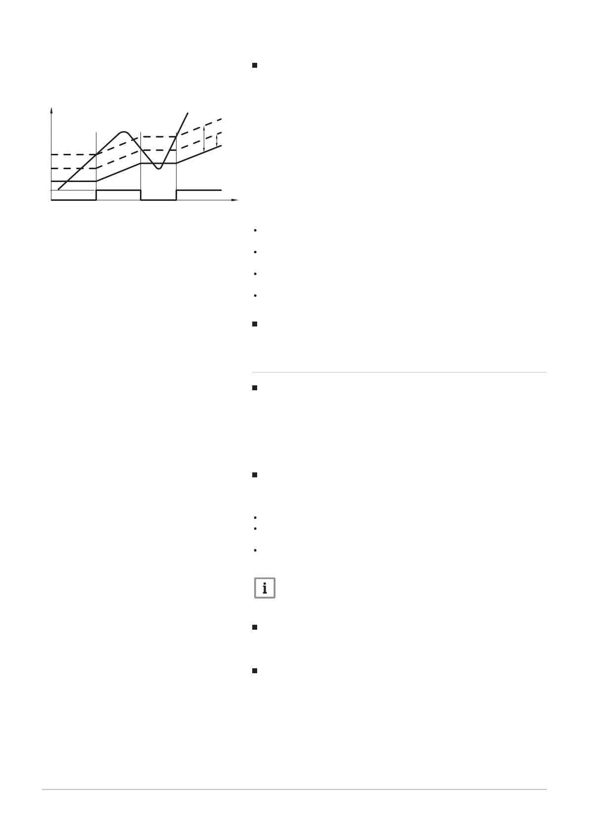
Temp diff on (4130), Temp diff off (4131) and Comparative
temp (4133)
1 / 0 On / off boiler pump
Bx Comparative actual temperature
T1 Temp diff on
T0 Temp diff off
TKx Boiler temperature
TS Storage temperature
t Time
A sufficiently large temperature difference is necessary between the boiler
temperature and the comparative temperature for start-up of the pump.
To maintain the comparative temperature, the following settings are
available under prog. no. 4133:
DHW sensor B3 / DHW sensor B31: The comparative temperature is
supplied by the DHW sensor B3/B31.
Buffer sensor B4 / Buffer sensor B41: The comparative temperature is
supplied by the buffer storage tank sensor B4/B41.
Flow temp setpoint: The flow temperature setpoint is used as
comparative temperature.
Setpoint min: The value set in prog.no. 4110 is used as comparative
temperature.
Pump overrun time (4140)
Pump overrun time setting for the solid fuel boiler pump.
9.2.15 Buffer storage tank
Buffer storage tank
A buffer storage tank can be connected to the system. This can be heated
via the heat generator and by solar energy. In cooling mode, it can also be
used to store cooling energy. The controller controls the heating/cooling
and the forced charging of the buffer storage tank, protects it against
overtemperature and maintains the layering in the storage tank as far as
possible.
Auto generation lock (4720)
The heat generator is only put into operation if the buffer can no longer
cover the current heat demand. The following settings are possible:
None: The automatic heat generator lock is deactivated.
With B4: The automatic heat generator lock is triggered by the B4 buffer
storage tank sensor.
With B4 and B42/B41: The automatic heat generator lock is triggered by
the B4 and B41 (or B42) buffer storage tank sensors.
Important
To activate the heat generator lock, the temperature must be high
enough at both sensors.
Auto heat gen lock SD (4721)
The heat generator is locked if the the temperature in the buffer storage
tank is higher than the boiler setpoint+Auto heat gen lock SD.
Temp diff buffer/HC (4722)
If the temperature difference between buffer storage tank and heating
circuit temperature request is large enough, the heat required by the
heating circuit will be taken from the buffer storage tank. The heat
generator is locked. This enables a mixer boost, which is not necessary in
the event of heating from the buffer, to be compensated for or, if
necessary, an undersupply to be approved as well.
Fig.31
Storage tank charging
1
0
TKx
T1
T0
TS
Bx
T
t
RA-0000081
9 Settings
108 Paramount five 30 – 115 7703046 - 01 - 23072018

Table of Contents

Related product manuals