EasyManua.ls Logo

Potterton Paramount three 30 - Buffer Storage

Potterton Paramount three 30
140 pages
Print Icon
To Next Page IconTo Next Page
To Next Page IconTo Next Page
To Previous Page IconTo Previous Page
To Previous Page IconTo Previous Page
Loading...
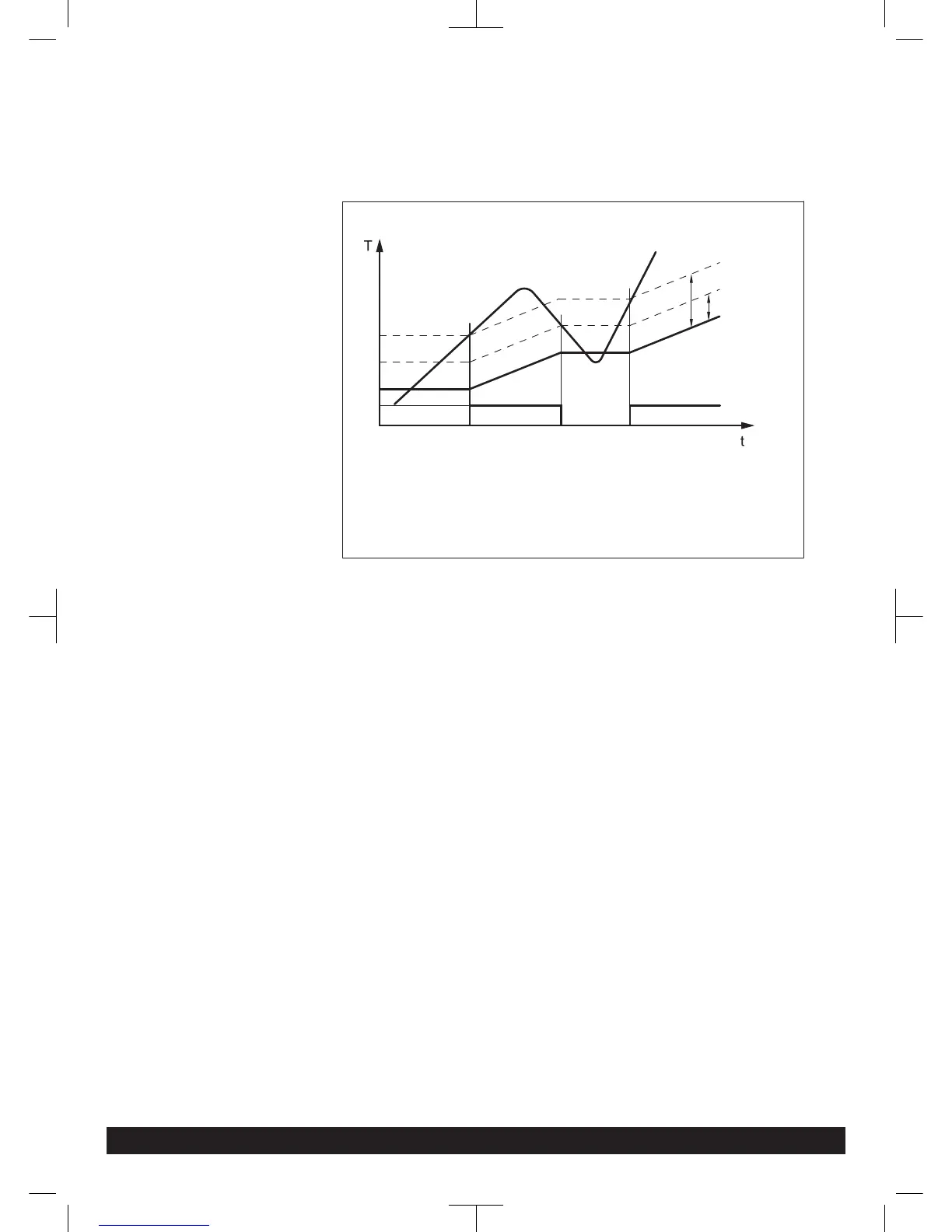
Temp diff ON/OFF
(4130, 4131)
Comparative temp
(44133)
A sufficiently large temperature difference is necessary between the boiler tem-
perature and the comparative temperature for start-up of the pump.
Fig. 25: Storage tank charging
TBx
Tem p diff on
Tem p diff off
On
Off
TSt
Bx
TKx
Bx
ON/OFF
Boiler temperature
Comparative actual temperature
ON/OFF Boiler pump
To maintain the comparative temperature, the following settings are available
under prog. no. 4133:
DHW sensor B3/B31: The comparative temperature is supplied by the DHW sen-
sor B3/B31
Buffer sensor B4/B41: The comparative temperature is supplied by the buffer stor-
age tank sensor B3/B31
Flow temp setpoint: The flow temperature setpoint is used as comparative tem-
perature.
Setpoint min The value set in prog.no. 4110 is used as comparative temperature.
Pump after-run time
(4140)
Setting pump after-run time.
8.19 Buffer storage
Auto generation lock
(4720)
The hydraulic separation of heat source and buffer storage tanks achieved by the
automatic heat generation lock. The heating source will only be started if the buf-
fer storage tank cannot cover the actual heat request. The following settings are
possible:
- None: the automatic heat generation lock is de-activated.
- With B4: the automatic heat generation lock will be triggered by the buffer
storage tank B4
- With B4 and B42/B41: the automatic heat generation lock will be triggered by
the buffer storage tanks B4 and B41/B42.
Auto heat gen lock SD
(4721)
The heat source will be locked if the temperature in the buffer storage tank is
higher than the boiler setpoint+ auto heat generation lock SD.
Temp diff buffer/HC
(4722)
If the temperature difference between buffer storage and heating circuit temper-
ature request is sufficiently large, the heat required by the heating circuit will be
taken from the buffer storage. The heat generator is locked.
Programming
100 Paramount three 30-115 kW 7308272-03 03.14

Table of Contents