EasyManua.ls Logo

Potterton Paramount three 30 - Cascade

Potterton Paramount three 30
140 pages
Print Icon
To Next Page IconTo Next Page
To Next Page IconTo Next Page
To Previous Page IconTo Previous Page
To Previous Page IconTo Previous Page
Loading...
Switching diff on HCs
(2454)
Switching diff off min HCs
(2455)
Switching diff off max HCs
(2456)
Switching diff on DHW
(2460)
Switching diff off min DHW
(2461)
Switching diff off max DHW
(2462)
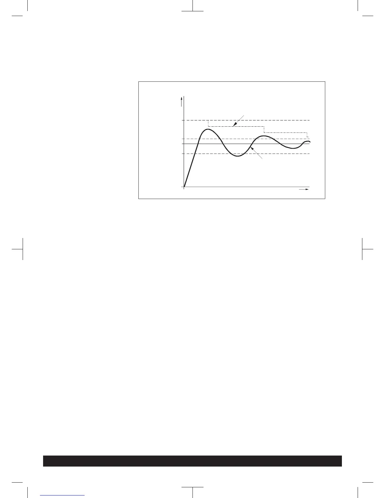
To avoid unnecessary switch off during transient effects the switch off difference
adapts dynamically depending on the temperature profile (see Fig. 22 ).
Fig. 22: Switching differential
Tc
t
Switching diff off
Tc (Current temperature)
Switching diff off
max HCs/DHW
(2456/2462)
Switching diff off
min HCs/DHW
(2456/2462)
Switching diff on
HCs/DHW duration
Delay heat request special op
(2470)
The heat request during special operation (chimney-sweep function, controller
stop, manual operation) is sent to the burner delayed by the time set here. In this
way slowly opening mixers can already start up before the burner goes into oper-
ation. Thus a boiler temperature that is too high can be prevented.
Pressure switch shutdown
(2500)
This function checks the static water pressure with the aid of the connected wa-
ter pressure switch. Depending on the set option (start prevention or lockout posi-
tion) with shutdown either a start prevention or lockout position occurs with the
corresponding diagnostics.
A closed water pressure switch releases the commissioning on the burner control
and the actuation of the pumps. With open pressure switch is a start prevention
or lockout position triggered.
The pump actuation is also locked for protection against dry running. If the water
pressure increases again and the switch closes again , with a start prevention
these are automatically again cancelled and the pump actuation is again re-
leased.
8.16 Cascade
Lead strategy
(3510)
Considering the specified output range the heat generation is switched on and
off acc. to the set lead strategy. To switch off the effect of the die output range,
the limits must be set to 0% and 100% and the lead strategy to late on, late off.
- Late on, early off: additional boiler is switched on as late as possible (output
range max) and back off as early as possible (output range max). I.e. boiler in
operation as little as possible, or short running times for additional boiler.
- Late on, late off: additional boiler is switched on as late as possible (output
range max) and back off as late as possible (output range min). I.e. as few as
possible on and off processes as possible for the boiler.
- Early on, late off: additional boiler is switched on as early as possible (output
range min) and back off as late as possible (output range min). I.e. boiler in op-
eration as much as possible, or as long as possible running times for additional
boiler.
Programming
7308272-03 03.14 Paramount three 30-115 kW 95

Table of Contents

Related product manuals