EasyManua.ls Logo

RCA Spectra 70 - Store Character (STC)

RCA Spectra 70
260 pages
Print Icon
To Next Page IconTo Next Page
To Next Page IconTo Next Page
To Previous Page IconTo Previous Page
To Previous Page IconTo Previous Page
Loading...
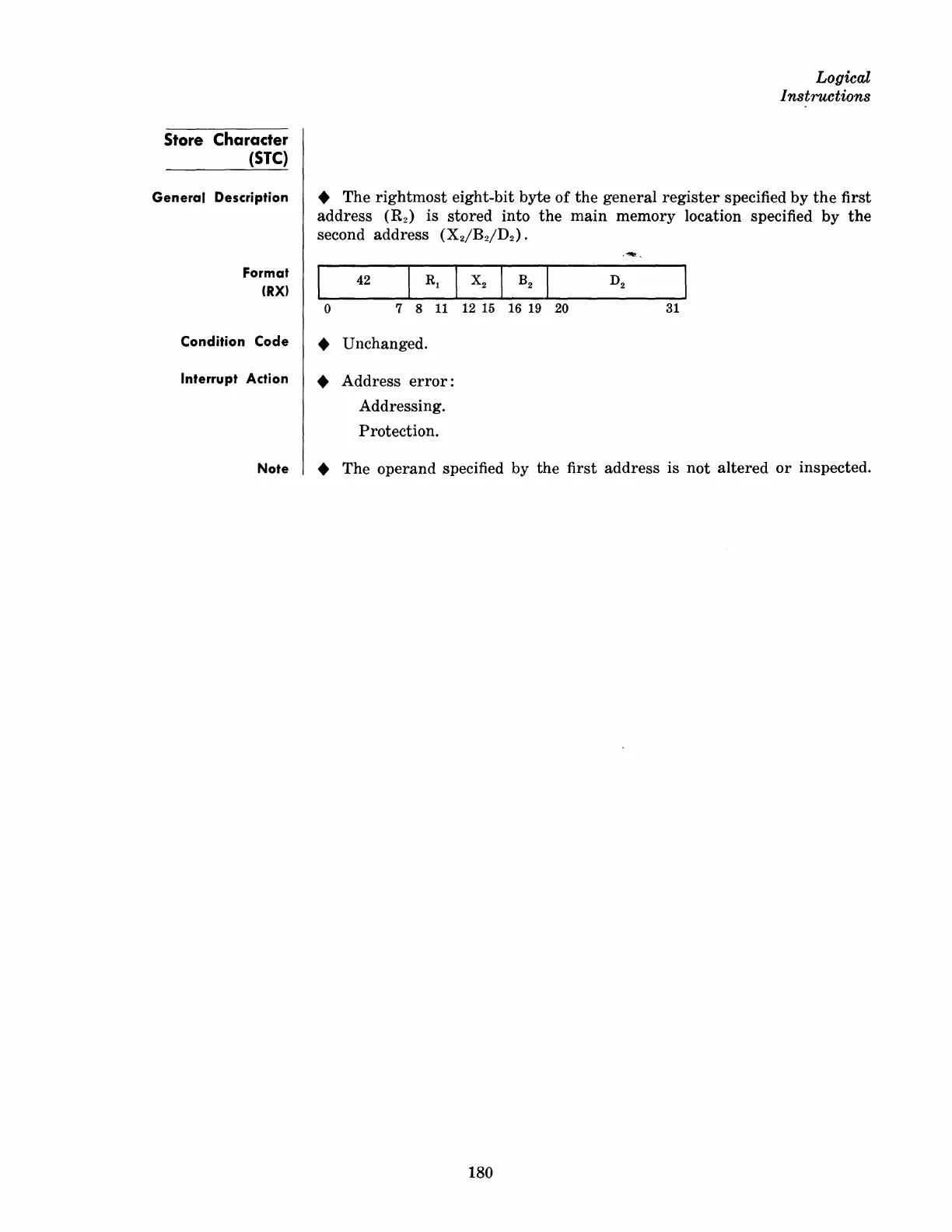
Store Character
(STC)
General
Description
Format
(RX)
Condition Code
Interrupt Action
Logical
Instructions
The
rightmost
eight-bit
byte
of
the
general
register
specified
by
the
first
address
(R
2
)
is stored into
the
main
memory
location specified
by
the
second
address
(XdBdD
2
).
42
o
7 8 11 12 15 16 19 20
31
Unchanged.
Address
error:
Addressing.
Protection.
Note
The operand specified by
the
first
address
is
not
altered
or
inspected.
180

Table of Contents

Other manuals for RCA Spectra 70

Related product manuals