EasyManua.ls Logo

RCA Spectra 70 - Branching Instructions; Instruction Formats

RCA Spectra 70
260 pages
Print Icon
To Next Page IconTo Next Page
To Next Page IconTo Next Page
To Previous Page IconTo Previous Page
To Previous Page IconTo Previous Page
Loading...
BRANCHING
INSTRUCTIONS
INTRODUCTION
SEQUENTIAL
EXECUTION
INSTRUCTION
FORMATS
RS
Format
Description
In
normal
processor operation,
instructions
are
executed in sequential
order
according to
the
main
memory locations in which
they
are
stored.
When
branching
is performed, a
break
in
this
normal sequential execution
occurs.
Branching
instructions
provide
for
referencing
another
subroutine
or
repeating
a segment
of
coding
or
continuing
to
the
next
instruction
in sequence. When
branching
occurs,
the
address
specified
in
the
branch
instruction
replaces
the
current
address
in
the
P counter.
The
branch
address
can be specified by
an
instruction
address
or
it
can be obtained
from
one
of
the
general
registers.
The
actual
branching
execution is based on
the
setting
of
the
condition
code
or
on
the
contents
of
a general
register
as
specified
in
the
loop-closing
operations.
In
a
branching
operation,
the
current
address
in
the
updated
P
counter
can
be stored before
the
branch
address
is placed
in
the
P counter. This
stored
address
can
be used
for
linking
the
new
segment
of
instructions
with
the
segment
of
instructions
from
which
the
branching
occurred.
The
Execute
instruction
is listed
with
the
branch
instructions, although
only a
temporary
departure
from
sequential operation is entailed by use
of
this
instruction. The
branch
address,
in
this
instruction, specifies one
instruction
to be executed
in
the
instruction
sequence.
The
address
in
the
P
counter
is
not
replaced
by
the
branch
address
and
only
the
instruction
located
at
the
address
is executed before
the
sequence is continued based
upon
the
updated
P counter.
Normally,
the
P
counter
instruction
address
specifies a
main
memory
location
from
which
the
next
instruction
to
be
executed is fetched.
This
instruction
address
is
updated
in
the
P
counter
by
the
length,
in
bytes,
of
the
instruction
to
be
executed
as
indicated by
the
current
P counter.
The
instruction
currently
indicated by
the
P
counter
is executed
and
the
opera-
tion
is
repeated
using
the
updated P
counter
to
fetch
the
next
instruction.
Instructions
can
occupy
from
one
halfword
(two bytes) up to
three
halfwords
(six
bytes).
The high-order two
bits
of
the
operation
code
of
each
instruction
designates
its
length
as
follows:
00 =
halfword
instruction
(two
bytes).
01, 10 = two-halfword
instructions
(four
bytes).
11
=
three-halfword
instructions
(six
bytes).
Branching
instructions
use
the
following
three
instruction
formats:
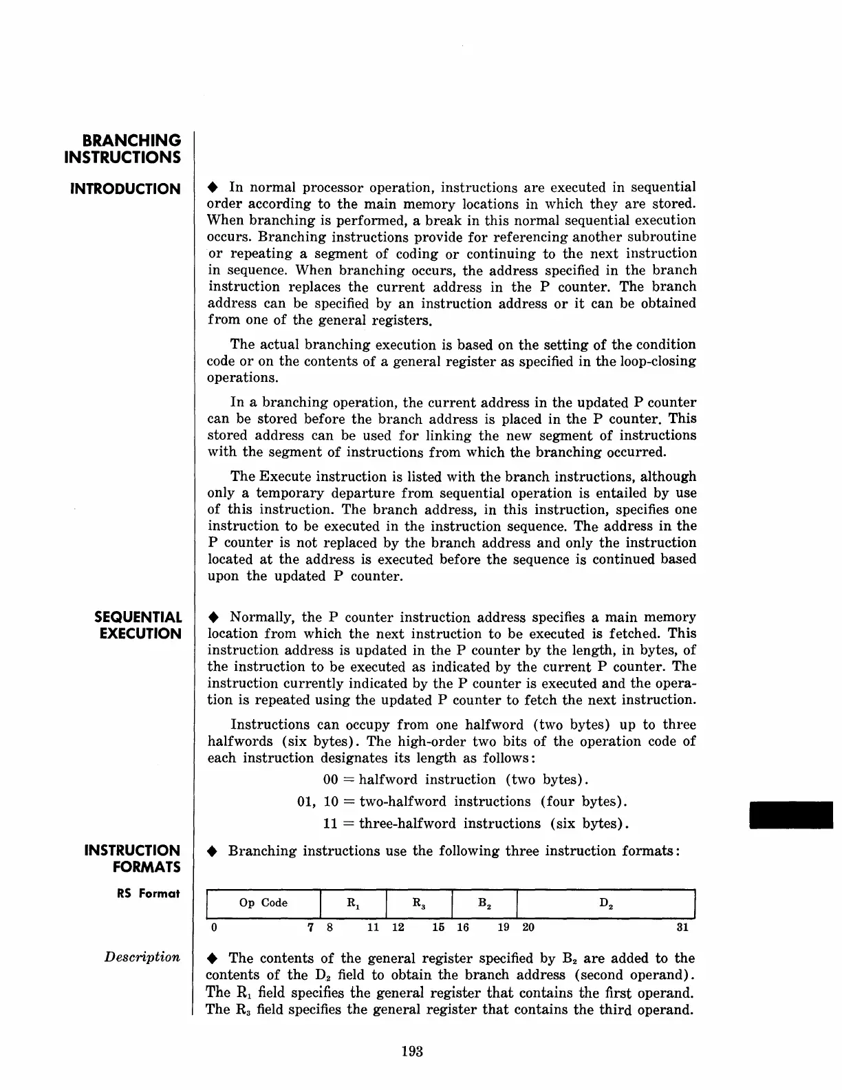
o
7 8 11 12
15
16 19 20
31
The
contents
of
the
general
register
specified
by
B2
are
added
to
the
contents
of
the
D2
field to
obtain
the
branch
address
(second
operand).
The
Rl
field specifies
the
general
register
that
contains
the
first operand.
The
R3
field specifies
the
general
register
that
contains
the
third
operand.
193
-

Table of Contents

Other manuals for RCA Spectra 70

Related product manuals