EasyManua.ls Logo

Record DFA 127 - Technical Data; Dimensions and operating parameters; Permissible door leaf weights and door widths

Record DFA 127
20 pages
Print Icon
To Next Page IconTo Next Page
To Next Page IconTo Next Page
To Previous Page IconTo Previous Page
To Previous Page IconTo Previous Page
Loading...
Page 4 of 20 Rev. B 11/2006 Operating instructions DFA 127 Full Power
3 Technical Data
Dimensions: Operator 600 x 85 x 124 mm (w x h x d)
Operating voltage:
230V
Power consumption: Standby 13 W, rated power 67 W
Max. torque: 50 Nm
Opening angle: Adjustable from 70° to 115°
Time delay: Adjustable from 0 to 20 seconds
Opening speed: Adjustable from 3 to 20 seconds
Closing speed: Adjustable from 5 to 20 seconds
Noise emission -18 dB
Environment conditions
Temperature range: -15 to + 50°C
Humidity range: Up to 85% relative humidity, non bedewing
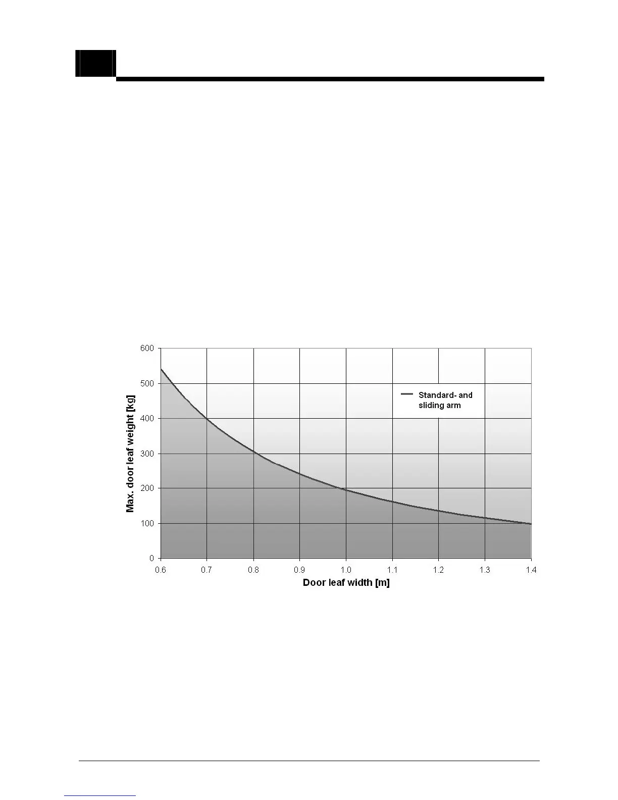
3.1 Permissible door leaf weights and door widths
The curves are calculated using to the following formula:
J = 1/3 × m × b
2
Standard arms : J max. 65 kgm
2
Key :
J = mass moment of inertia [kgm
2
]
Slide arms : J max. 65 kgm
2
m = door leaf weight [kg]
b = door leaf width [m]

Other manuals for Record DFA 127

Related product manuals