EasyManua.ls Logo

Ryobi 3302HA - Page 49

Ryobi 3302HA
265 pages
Print Icon
To Next Page IconTo Next Page
To Next Page IconTo Next Page
To Previous Page IconTo Previous Page
To Previous Page IconTo Previous Page
Loading...
Chapter
2 Names
and
Functions
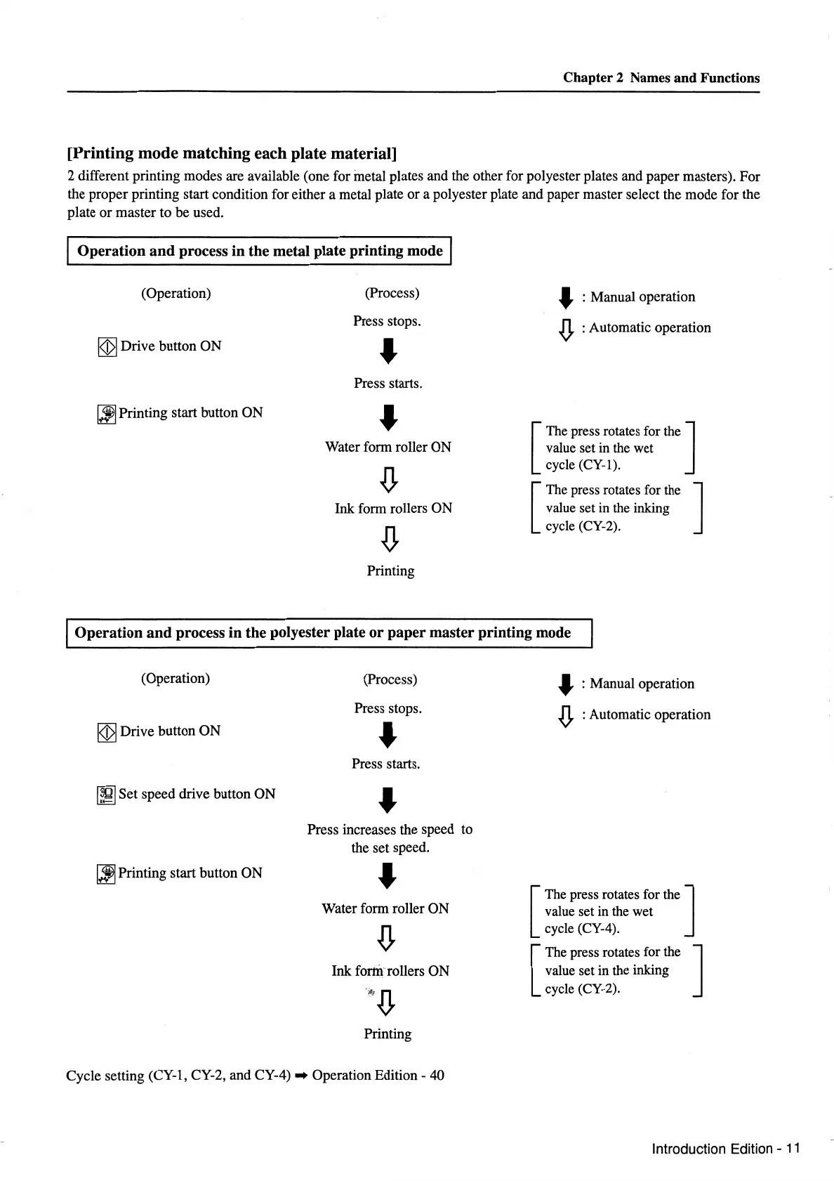
[Printing mode matching each plate material]
2 different printing modes are available (one for metal plates and the other for polyester plates and paper masters). For
the proper printing start condition for either a metal plate or a polyester plate and paper master select the mode for the
plate
or
master to
be
used.
Operation
and
process
in
the metal plate printing mode
(Operation) (Process)
Press stops.
~Drive
button
ON
Press starts.
611
Printing start button ON
Water form roller ON
Ink form rollers ON
Printing
..J
: Manual operation
.(J.
: Automatic operation
[
The press rotates for the J
value set in the wet
cycle
(CY-1).
[
The press rotates for the J
value set in the inking
cycle (CY-2).
Operation
and
process in the polyester plate
or
paper
master printing mode
(Operation)
~Drive
button
ON
~
Set speed drive button
ON
611
Printing start button
ON
(Process)
Press stops.
.J
Press starts.
Press increases the speed to
the set speed.
Water form roller ON
Ink fortirrollers ON
Printing
Cycle setting (CY-1, CY-2, and
CY-4).,.
Operation
Edition-
40
..J
: Manual operation
.(J.
: Automatic operation
[
The press rotates for the J
value set in the wet
cycle
(CY-4).
[
The press rotates for the J
value set in the inking
cycle (CY-2).
Introduction Edition -
11

Table of Contents

Related product manuals