EasyManua.ls Logo

Sako SKI650-2D2G - Chapter 3 Mechanical and Electrical Installation; Location Selection; Overheat Protection

Default Icon
47 pages
Print Icon
To Next Page IconTo Next Page
To Next Page IconTo Next Page
To Previous Page IconTo Previous Page
To Previous Page IconTo Previous Page
Loading...
SKI650 Series
- 19 -
Chapter 3 Mechanical and Electrical Installation
3.1 Mechanical Installation
3.1.1 Overheat protection
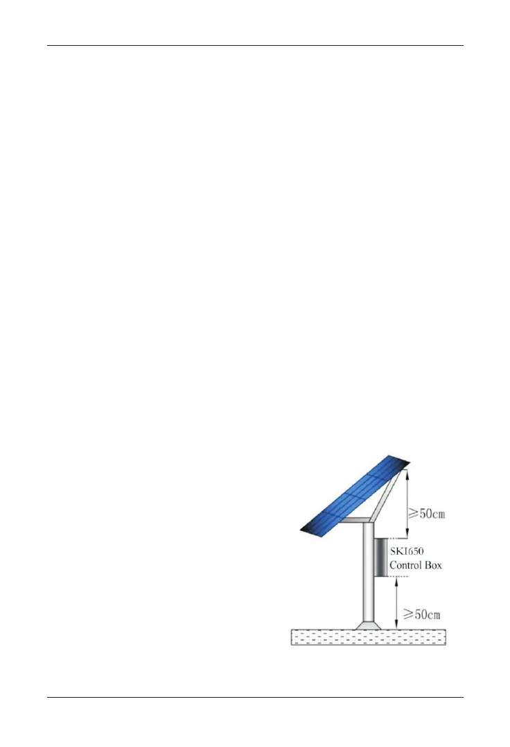
Install the SKI650 solar pump
inverter
in a control box with control terminals and
power wiring. Install the control box out of direct sunlight to prevent overheating
and reduced performance. The optimum location is on the mounting pole for the
solar array underneath the array for protection from the sun, heat, and weather
elements. Placing the control box in direct sunlight or high ambient temperatures
will result in reduced performance due to temperature foldback protection of the
SKI650 solar pump inverter. For optimum performance, maximize the shading of
the control box.
It is recommended that use a wire tube to protect the electric wire from the
destruction of wildlife and natural weathering, and bury the wire tube into the
ground to strengthen protection. If you do not use a wire tube, you can use a higher
quality outdoor cable.
3.1.2 Location Selection
The SKI650 solar pump
inverter
is intended for
operation in ambient temperatures up to 60,
but in order to avoid overheating caused by the
failure, it is recommended to install the
controller in the shadow position.
Figure 3 Control Box Location

Table of Contents

Related product manuals