EasyManua.ls Logo

SCHUNK PZN-plus - Page 39

SCHUNK PZN-plus
68 pages
Print Icon
To Next Page IconTo Next Page
To Next Page IconTo Next Page
To Previous Page IconTo Previous Page
To Previous Page IconTo Previous Page
Loading...
Assembly
210.00 | PZN-plus | Assembly and Operating Manual | en | 389374 39
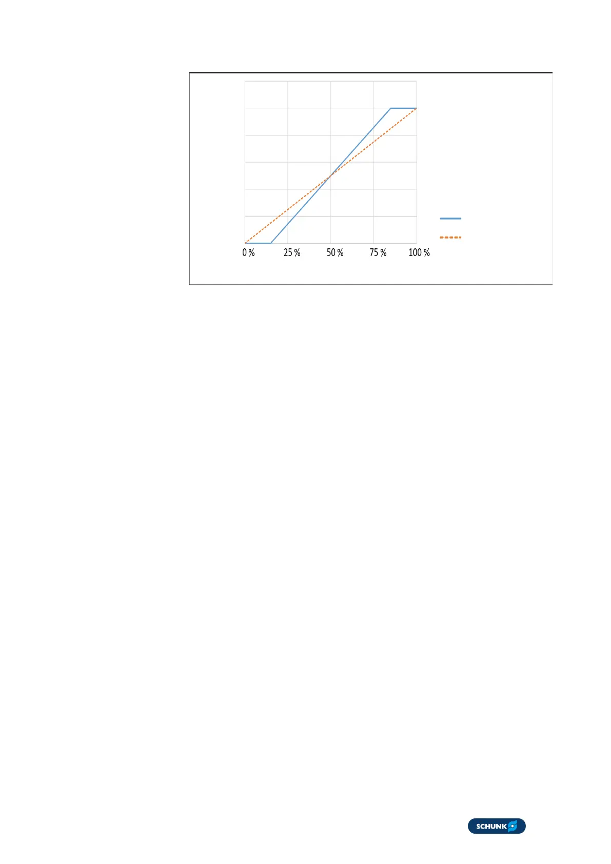
Analog signal [V]
Stroke [mm]
Signal Real
Signal Optimal
1. Turn the sensor (1) into the groove (2).
OR: Slide the sensor (1) into the groove (2) until the sensor (1)
stops at the T-nut (3).
2. Secure the sensor (1) using the set-screw (4).
Tightening torque: 10 Ncm

Table of Contents

Related product manuals