EasyManua.ls Logo

Sharp DX-361HM - Page 33

Sharp DX-361HM
66 pages
Print Icon
To Next Page IconTo Next Page
To Next Page IconTo Next Page
To Previous Page IconTo Previous Page
To Previous Page IconTo Previous Page
Loading...
@
cr
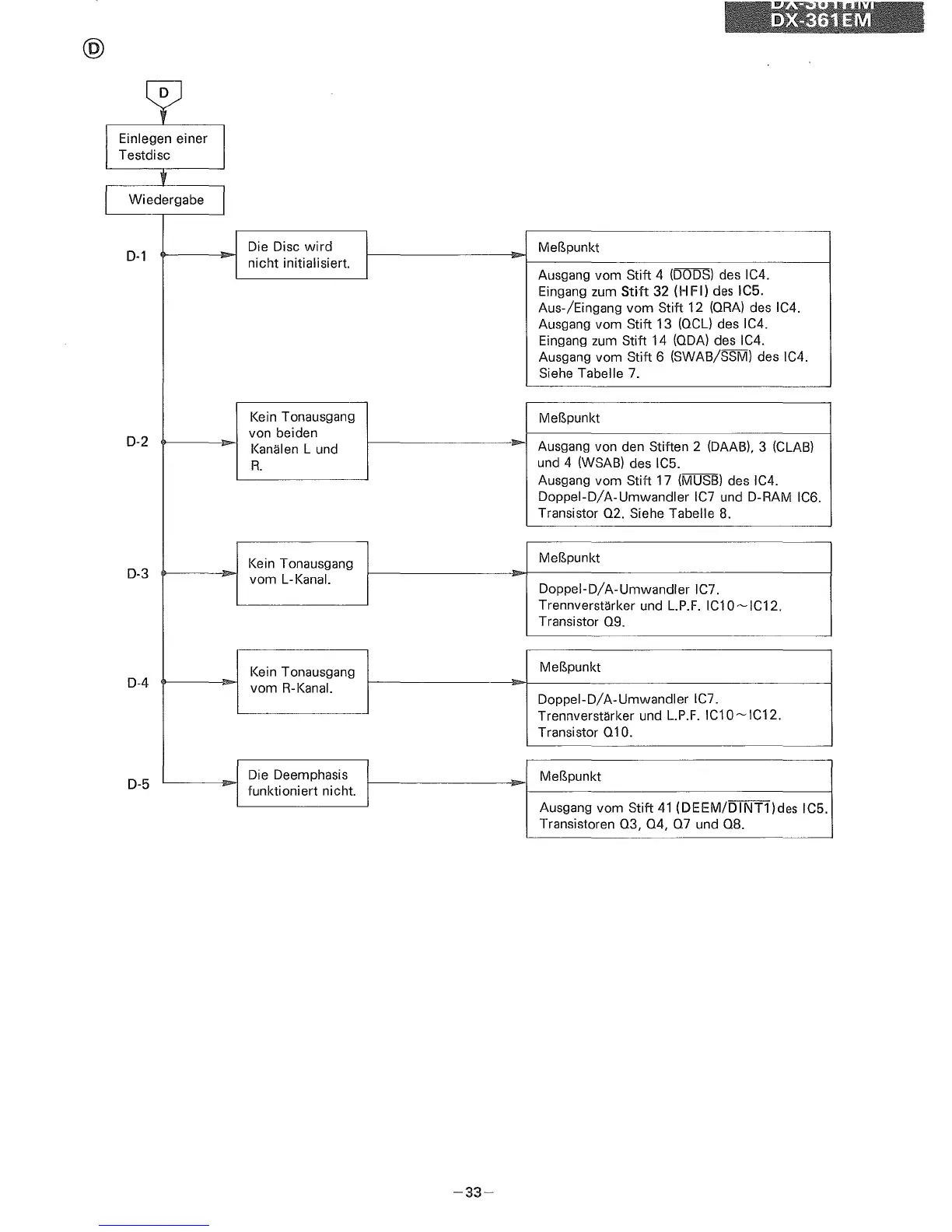
I Einlegen einer
I
Testdisc
,
I
Wiedergabe
I
D-1
Die Disc
wird
Mefspunkt
nicht
initialisiert.
Ausgang vorn
Stift
4 (DGDS) des IC4.
Eingang zurn
Stift
32
(HFI)
des IC5.
Aus-/Eingang vorn
Stift
12 (ORA) des IC4.
Ausgang vern
Stift
13 (OCL) des IC4.
Eingang zum Stift 14 (ODA) des IC4.
Ausgang vorn Stift 6 (SWAB/SSM) des IC4.
Siehe Tabelle 7.
Kein Tonausgang
Melspunkt
D-2
von beiden
Kanalen
Lund
Ausgang von den Stiften 2 (DAAB), 3 (CLAB)
R.
und 4 (WSAB) des IC5.
Ausgang vorn Stift 17 (MUSB) des IC4.
Doppel-D/A-Urnwandler
IC7 und D-RAM IC6.
Transistor
02.
Siehe Tabelle 8.
Kein Tonausgang
Melspunkt
D-3
vern L-Kanal.
Doppel-D/A-Urnwandler
IC7.
Trennverstarker und L.P.F. IC10
~
IC12.
Transistor
09.
Kein Tonausgang
Melspunkt
0-4
vorn R-Kanal.
Doppel-D/A-Urnwandler
IC7.
Trennverstarker und L.P.F. IC10
~
IC12.
Transistor
010.
0-5
Die Deernphasis
Mel?,punkt
funktioniert
nicht.
Ausgang vern
Stift
41
(OEEM/OI
NT1 )des IC5.
Transistoren
03, 04,
07
und
08.
-33-

Related product manuals