EasyManua.ls Logo

Sharp PC-1500 - Page 94

Sharp PC-1500
169 pages
Print Icon
To Next Page IconTo Next Page
To Next Page IconTo Next Page
To Previous Page IconTo Previous Page
To Previous Page IconTo Previous Page
Loading...
A
ll
and more about Sharp PC-1500
at
http://www.PC-1500.info
Bec
.a
use our
character
is 5 columns
wid
e we
wi
ll
need 5 s
eparate
numbers in the
patte
r
expressi
on
li
st
of
the
GPRINT
statement.
The
numbe
rs representi
ng
the
co
l
umns
1 and 5
must
each specify a single
dot
in
the
row label
ed
4.
Similarly,
the
numbers representing
co
l
umns
2
and
4
mus
t eacli
spec
ify a single
dot
in row
2.
The
final sta
tement
i
s:
GPRINT
4;
2;
127
;
2;4
The specifi
ca
t
ion
of
the th
ird
co
lumn
(127)
is the
on
ly n
umber
wh
ose
de
ri
vation
may
not
be
imm
ediately obvio·u
s.
The
number
127
is the sum of a
dot
in
th
e first
row
(1
). a d·
ot
in
the second
row (2). a
dot
in
the
thi
rd
r
ow
(4),
and
so
on
.
Thus.
127
is 1 + 2 + 4 + 8 +
16
+
32
+ 63
and
specifies all 7
do
ts in the
column.
Any
pa
tten)
•nay
be
created
by specifying a r
ow
or a sum
of
se
ve
ral ro
..
-..
s.
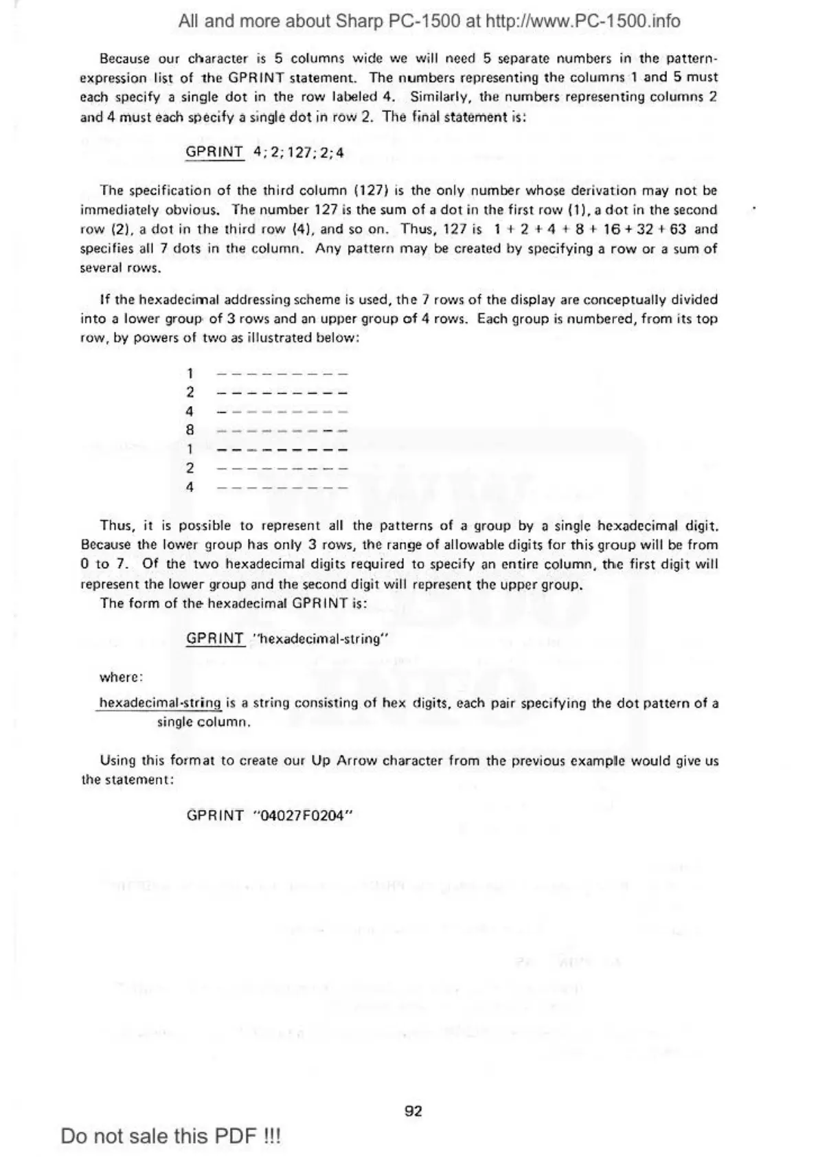
If the hexadeci
ma
l addressing scheme is used. the 7 rov1s of the display
are
conc.eptually divi
ded
in
to
a l
owe
r
group
of
3 r
o\\IS
and
an
uppe
r
group
of
4
ro
..
vs. Each group is nu
mber
e
d,
fr
om
its
t
op
row. by powers of
two
as illustrated
be
l
ow:
1
2
4
8
1
2
4
Thus, it is pos:sible
to
represent all the pa
tte
rns
of
a group by a si
ng
le
hex
adecimal dig
it
.
Because the
lower gr
oup
has only 3 rows, the ran
ge
of
all
owab
le digi
ts
for
this
group will
be
from
0
to
7. Of the
two
hexadeci
ma
l digits required to specify
an
ent
ire c
olum
n.
thic
fi
rst digit wi
ll
represent the l
ower
group
"nd
t
he
second
digit wi
ll
r
epre
s
ent
the
u
p
~
>e
r
gr
oup.
The form of t
he
hexadecimal GPRINT is:
GPR
INT "hexadecima
l-
string
..
wher
e:
hexadecimal-string is a string consisting
of
hex
di
gi
ts. each
pa
ir
spec
ifyin9 the
dot
pattern
of
a
single
co
lumn.
Us
in
g
th
is for
mat
to
create
ou
r
Up
Arr
ow
character
from t
he
pr
evious
cxamp
~
c
\vould give us
the statenlen
t:
(;
PR
IN
T ..
04027F0
2
04"
92
Do
not sale this PDF
!!!

Table of Contents

Other manuals for Sharp PC-1500

Related product manuals