EasyManua.ls Logo

Siargo MF4000 - Page 24

Siargo MF4000
34 pages
Print Icon
To Next Page IconTo Next Page
To Next Page IconTo Next Page
To Previous Page IconTo Previous Page
To Previous Page IconTo Previous Page
Loading...
www.Siargo.com MF / FS4000 User Manual 23 | P a g e
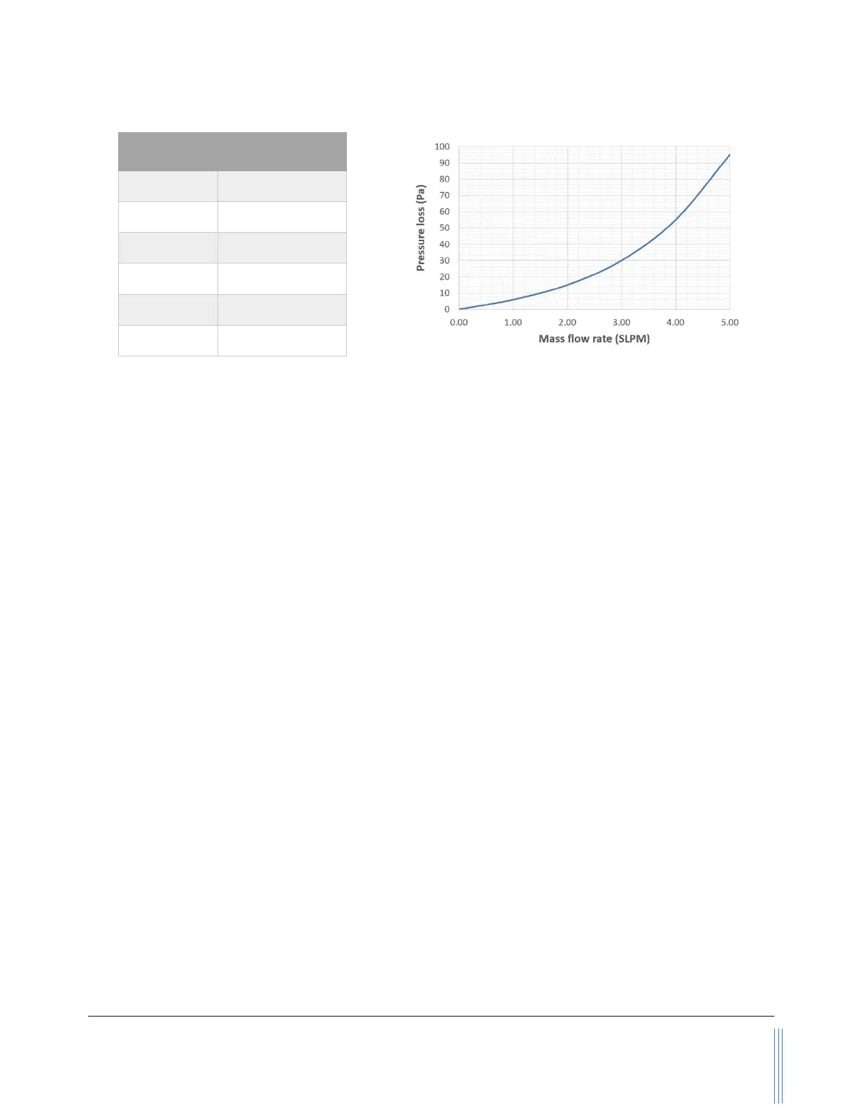
Table 5.9: MF/FS4o03 pressure loss
Flow rate
(SLPM)
Pressure loss
(Pa / PSI)
0.0
0 / o
1.0
6 / 0.001
2.0
15 / 0.002
3.0
30 / 0.004
4.0
55 / 0.008
5.0
95 / 0.014
Figure 5.6: MF/FS4o03 pressure loss

Related product manuals