EasyManua.ls Logo

Siemens SINAMICS S150 - Page 108

Siemens SINAMICS S150
530 pages
To Next Page IconTo Next Page
To Next Page IconTo Next Page
To Previous Page IconTo Previous Page
To Previous Page IconTo Previous Page
Loading...
Fundamental Principles and System Description
Engineering Information
SINAMICS Engineering Manual – November 2015
Ó Siemens AG
108/528
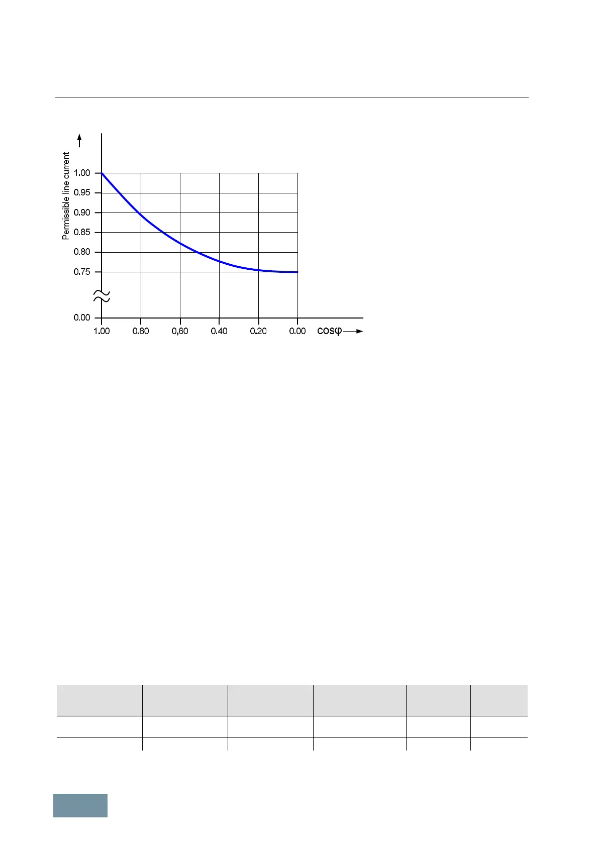
Permissible line current of the SINAMICS Active Infeed as a function of the line-side power fundamental factor cosφ
Creating an island power system by using the Active Infeed
The standard version of the SINAMICS Active Infeed has been developed as an Infeed component for SINAMICS
drive systems and a three-phase supply system is therefore an essential prerequisite for its use. Using the Voltage
Sensing Module VSM integrated in the Active Interface Module AIM, the Active Infeed senses the magnitude and
phase angle of the line voltage, synchronizes itself with the connected line voltage and frequency and, supported by
a secondary current controller, regulates the DC link voltage for the connected drive configuration to a constant value
which is parameterizable.
Special versions of the Active Infeed are available for applications in which an island power system is to be
generated by means of a self-commutated, line-side converter. Examples of such applications are:
· Shaft generators on ships with Active Infeed for generating an on-board power supply system
· Solar power installations with Active Infeed for generating local island power supply systems.
The versions of the Active Infeed required for this purpose have modified power unit hardware (CIM module with
additional processor) as compared to the standard version, and require supplementary firmware modules (which are
subject to license) in addition to the standard firmware. The power rating range of these special versions is limited.
Further information is available on request.
Note about the pulse frequency of the Active Infeed
By contrast with SINAMICS S120 Motor Modules for which the pulse frequency can be adjusted within relatively wide
limits, the pulse frequency for SINAMICS S120 Active Line Modules is largely predefined as it needs to be set in a
fixed ratio to the resonant frequency of the Clean Power Filter in the associated Active Interface Module.
For SINAMICS S120 Active Line Modules in Chassis and Cabinet Modules formats, the current controller clock
cycle and the pulse frequency are set at the factory to the values given in the table:
Line supply
voltage
DC link voltage S120 ALM output Rectifier/regenerative
current
ALM current
controller
clock cycle
ALM pulse
frequency
380 V 480 V 3AC 570 V 720 V DC 132 kW – 300 kW 210 A – 490 A 250 μs 4.00 kHz
380 kW – 900 kW 605 A – 1405 A 400 μs 2.50 kHz
500 V 690 V 3AC 750 V 1035 V DC 630 kW – 1700 kW 575 A – 1560 A 400 μs 2.50 kHz
Factory setting of current controller clock cycle and pulse frequency for S120 Active Line Modules (Chassis and Cabinet
Modules)

Table of Contents

Other manuals for Siemens SINAMICS S150

Related product manuals