EasyManua.ls Logo

Sony BVM-1911 - 1-4-7. Defining Monitor Configuration

Sony BVM-1911
275 pages
Print Icon
To Next Page IconTo Next Page
To Next Page IconTo Next Page
To Previous Page IconTo Previous Page
To Previous Page IconTo Previous Page
Loading...
C
0
~
Q)
C.
0
Section 1 Operation
1-4-7. Defining the Monitor Configuration
1 -38 11. Operation
In MONITOR CONFIG menu operation, the following operating
conditions of the monitor can be defined.
OPTION INSTALLATION: To specify the installed optional
boards.
D1 CONFIGURATION: To specify the system in which D-1 signals
are to be received.
COMPONENT OFFSET: To set the setup level for component
signals
NTSC OFFSET: To set the setup level for NTSC signals.
MONITOR TYPE: To define the model of your monitor.
In addition, all the menu options you changed can be reset to the
factory-set conditions using the RESTORE FACTORY SETUP
option.
To start with the MONITOR CONFIG menu operation
1 Press the MENU button to display the initial menu.
2 Press the!} button until the cursor reaches MONITOR CONFIG,
then press the ENT button.
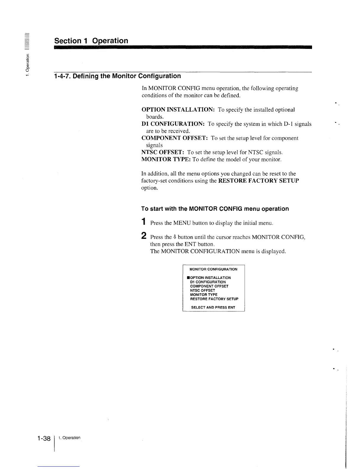
The MONITOR CONFIGURATION menu is displayed.
MONITOR CONFIGURATION
•OPTION INSTALLATION
D1 CONFIGURATION
COMPONENT OFFSET
NTSC OFFSET
MONITOR TYPE
RESTORE FACTORY SETUP
SELECT AND PRESS ENT

Table of Contents

Related product manuals