EasyManua.ls Logo

Space Pak LAHP48 - Page 9

Space Pak LAHP48
28 pages
Print Icon
To Next Page IconTo Next Page
To Next Page IconTo Next Page
To Previous Page IconTo Previous Page
To Previous Page IconTo Previous Page
Loading...
– 9 –
Model LAHP48 Air to Water Heat Pump — Installation, Operation & Maintenance Manual
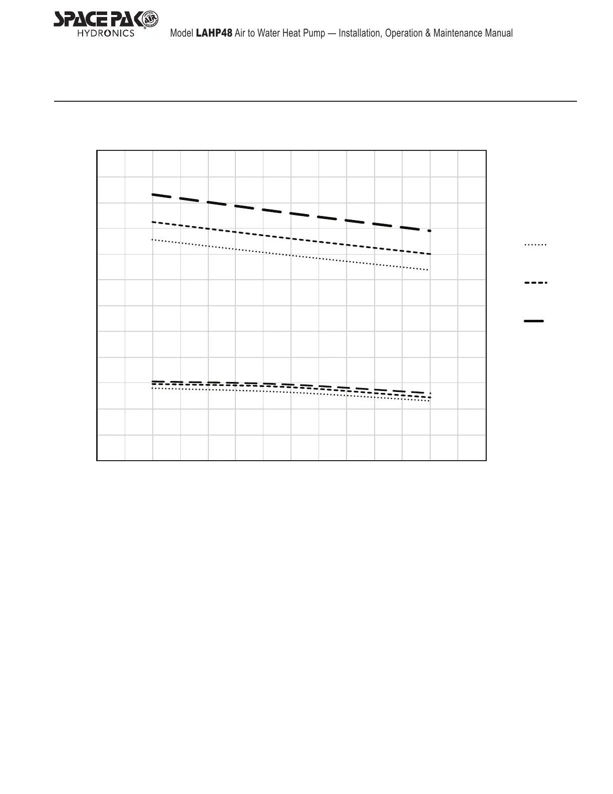
LAHP48 Cooling Performance
0.0
1.0
2.0
3.0
4.0
24,000
28,000
32,000
36,000
40,000
44,000
48,000
65 70 75 80 85 90 95 100
OUTDOOR AMBIENT TEMPERATURE, °F
42
44
47
Coefficientof
Performance
SupplyWater
Temp °F
All data based upon pure water @11.0 GPM
Figure 7

Related product manuals