EasyManua.ls Logo

Technibel CHG 11 - Pressure Curves

Technibel CHG 11
22 pages
Print Icon
To Next Page IconTo Next Page
To Next Page IconTo Next Page
To Previous Page IconTo Previous Page
To Previous Page IconTo Previous Page
Loading...
GB
17
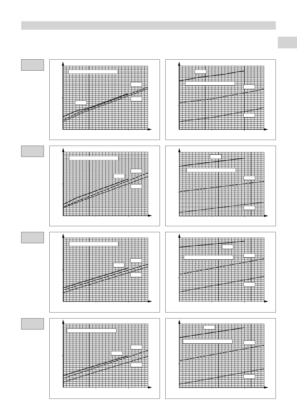
11 - PRESSURE CURVES
24
26
28
30
32
34
36
38
40
5 6 7 8 9 10 11 12 13 14 15 16 17 18
24
26
28
30
32
34
36
38
40
5 6 7 8 9 10 11 12 13 14 15 16 17 18
24
26
28
30
32
34
36
38
40
5 6 7 8 9 10 11 12 13 14 15 16 17 18
24
26
28
30
32
34
36
38
40
5
6 7 8 9 10 11 12 13 14 15 16 17 18
6
7
8
9
10
11
12
13
14
5 6 7 8 9 10 11 12 13 14 15 16 17 18
6
7
8
9
10
11
12
13
14
5 6 7 8 9 10 11 12 13 14 15 16 17 18
6
7
8
9
10
11
12
13
14
5 6 7 8 9 10 11 12 13 14 15 16 17 18
6
7
8
9
10
11
12
13
14
5 6 7 8 9 10 11 12 13 14 15 16 17 18
HIGH PRESSURE
LOW PRESSURE
CHG 8
CHG 11
CHG 15
CHG 17
Water outlet temperature (°C)
Low pressure (relative bar)
Outside temperature
Water outlet temperature (°C)
High pressure (relative bar)
Outside temperature
35° C
25° C
Water outlet temperature (°C)
Low pressure (relative bar)
Outside temperature
Water outlet temperature (°C)
High pressure (relative bar)
Outside temperature
Water outlet temperature (°C)
Low pressure (relative bar)
Outside temperature
Water outlet temperature (°C)
High pressure (relative bar)
Outside temperature
Water outlet temperature (°C)
Low pressure (relative bar)
Outside temperature
Water outlet temperature (°C)
High pressure (relative bar)
Outside temperature
43
°C
35
°C
25° C
43
°C
35° C
25
°
C
43° C
35° C
25° C
43° C
35° C
25° C
43° C
35° C
25° C
43° C
35
°C
25° C
43
°C
35° C
25° C
43° C

Related product manuals