EasyManua.ls Logo

Technics QUARTZ SA-GX100 - RESISTORS & CAPACITORS; Resistor List; Capacitor List

Technics QUARTZ SA-GX100
33 pages
Print Icon
To Next Page IconTo Next Page
To Next Page IconTo Next Page
To Previous Page IconTo Previous Page
To Previous Page IconTo Previous Page
Loading...
iy
Wehr
eri
MI
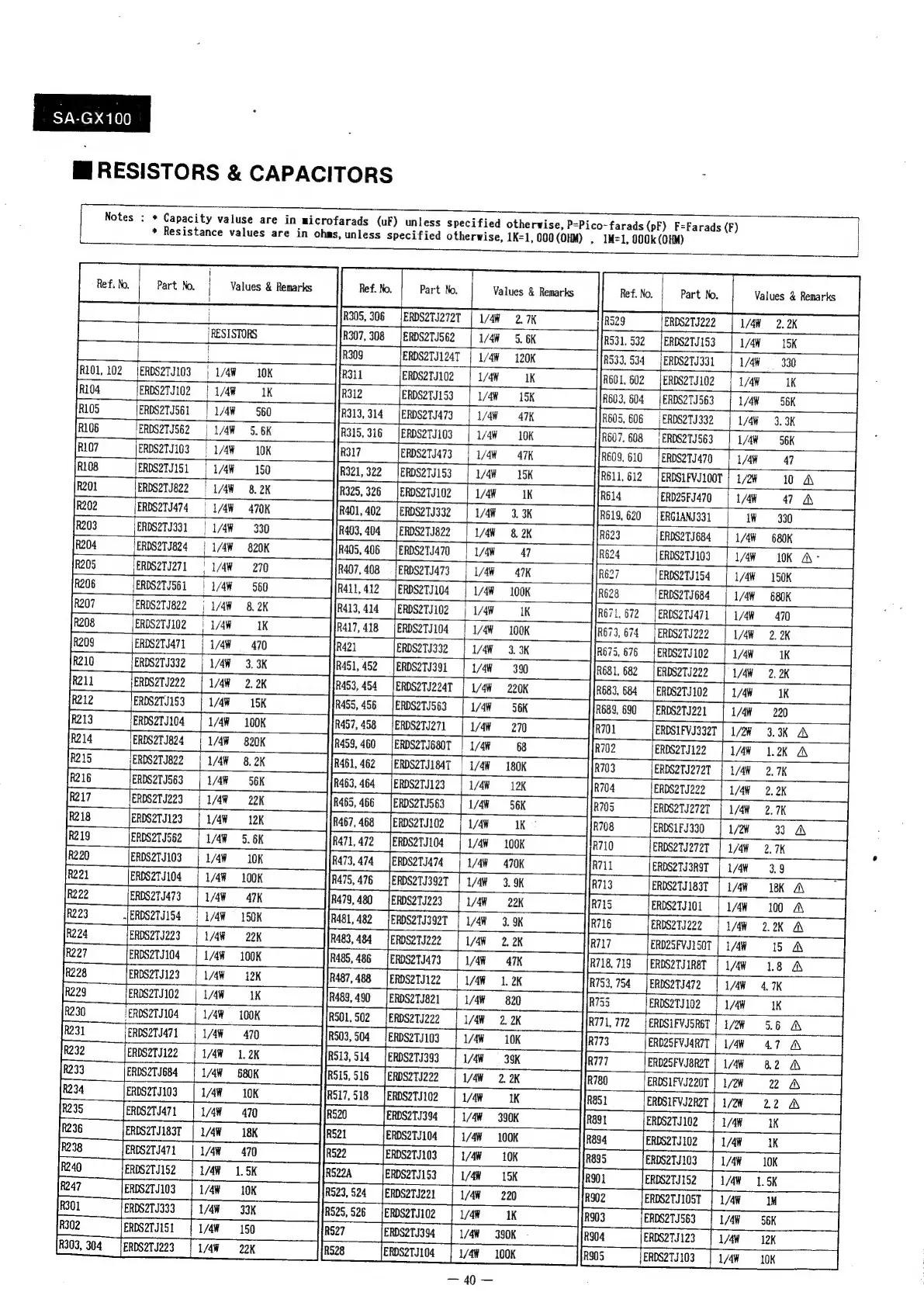
RESISTORS
&
CAPACITORS
;
Notes
:
*
Capacity
valuse
are
in
microfarads
(uF)
unless
specified
otherwise,
P=Pico-farads
(pF)
F=Farads
(F)
*
Resistance
values
are
in
ohms,
unless
specified
otherwise,
1K=1,
000(OHM)
,
1M=1,
000k(OHM)
Part
No.
Values
&
Remarks
Values
&
Remarks
i
ERDS2TJ272T
|
1/4¥
2.7K
|
ERDS2TJ222
1/AW
2.2K
|RESISTORS
ERDS2TJ562
[aw
5.
6K
R531,
532
|
ERDS2TJ153
1/4¥
15K
ERDS2TJ124T
|
1/4¥
120K
R533,
534
|
ERDS2TJ331
1/4h#
=
330
“TERDS2TJ103
ai
1/48
10K
ERDS2TJ102
1/4
IK
R601,
602
{ERDS2TJ
102
1/4¥
1K
ERDS2TJ102
1/4W
1K
ERDS2TJ153
|
1/4f#
15K
R603,
604
|ERDS2TJ563
1/4¥
56K
j
ERDS2TJ332
|
1/4W
3.3K
R607,
608
“TERDS2TJ563
1/4¥#
56K
ERDS2TJ473
|
1/4"
47K
ERDS2TJ103
1/48
10K
ed
ERDS2TJS61
|
1/4W
560
__ERDS2TJ562
|
L/AW
5.
6K
———
—-
|
R1O7
ERDS2TJ103
[vai
0K
ERDS2TJ473
|
1/4W
47K
Reoe,
s1o_fenoserva7o
|
1/aw
47
RI
ERDS2TJ151
|
1/4¥
150
ERDS2TJ153
|
1/4"
15K
ERDSIFVJ100T
|
1/28
10
A
|ERDS2TJ102
ERD25FI470
|
1/4¥
47
A
08
R201
ERDS2TJ822.
|
1/4W
8.
2K
02
ERDS2TJ474.
|
1/4H
470K
ERDS2TJ331
|
1/4"
330
ERDS2TJ824
|
1/4W
820K
'1/4W
270
{
R2
JERDS2TJ561
|
1/4W
560
JERDS2TJ822
|
1/4¥
8
2K
06
R207
.
R208
ERDS2TJ102
|
1/48
IK
R209
ERDS2TJ471
1/4#
=
470
R210
1
2
5K
ERGIANJ331
W330
2
ERDs2Ts684
|
1/4W
680K
ERDS2TJ103
|
1/aW
10K
A-
EROS2TJ154
|
1/4
150K
R628
ERDS27J684
|
1/4¥
680K
R671.
672
|ERDS2TJ471
|
1/4¥
470
R673,
674
/ERDS2TJ222
|
1/4W
2.2K
R675,
676
ERDS2TJ102
|
1/4¥
1K
R681,
682
|ERDS2TJ222
|
1/4W
2.2K
R683,
684
|ERDS2TJ102
|
1/4¥
1K
R689,
690
[ERDS2TJ221
|
1/4
220
ERDSIFVJ332T
|
1/2¥
3.3K
AN
ERDS2TJ122
|
1/4W
1.2K
AN
jERDS2TJ272T
|
1/4W
2.
7K
leroszts222
|
1/aW
2.2K
———+.
[erosetuever
|
1/aW
2.7K
ERDSIFII30
|
1/W
33
AM
R710
[ERDS2TJ272T
|
1/4W
2.7K
ERDS2TJGROT
|
1/4W
3,9
ERDS2TJ183T
|
1/4¥
18K
AV
ERDS27J332
ERDS2TJ822
ERDS2TJ470
R407,
408
{ERDS2TJ473
1/4W
47K
R411,
412
|
ERDS2TJ104
1/48
=
100K
R413,
414
|ERDS2TJ102_
|
1/48
IK
R417,418
jERDS2TJ104
|
1/48
100K
R421
ERDS2TJ332
|
1/4¥
3.3K
R451,
452
|
ERDS2TJ391
1/a¥
390
R453,
454
|ERDS2TJ224T
|
1/4W
220K
R495,
456
/ERDS2TJ563
|
1/4¥
=
56K
R457,
458
/ERDS2TJ271
R459,
460
|
ERDS2TJ680T
ERDS2TJ184T
ERDS2TJ123
inv
ERDS2TJ563
1/4¥#
56K
ERDS2TJ102
ERDS2TJ104
ERDS2TJ474
1/48
470K
R2
R2
6
7
R2
ERDS2TJ563
1/4¥
56K
1
R21
ERDS2TJ223
|
1/4"
=
22K
R218
ERDS2TJ123
|
1/4W
12K
R219
ERDS2TJ562
|
1/48
5.
6K
R220
ERDS2TJ103
|
1/4¥
10K
R221
ERDS2TJ104
|
1/48
100K
ERDS2TJ392T
R222
ERDS2TJ473
|
1/4W
=
47K
R479,
480
jERDS2TJ223
|
1/4¥#
=—-22K
ERDS2TJ101
1/W
100
A
R223
{ERDS2TJ154
|
1/4¥
=
150K
R481,
482
jERDS2TJ392T
|
1/4¥
3.
9K
R716
ERDS2TJ222
|
1/4H#
2.2K
A
ERD2SFVJ150T
j
1/48
15
A
ERDS2TJIR8T
|
1/4W
1.8
AV
|ERDS21J472
1/AW
4.7K
ERDS2TJ102
|
1/4W¥
1K
ERDSIFVJSRET
|
1/2
5.6
AN
ERD2SFVJ4R7T
|
1/4
47
AN
~
TERD2SFVJ8R2T
ERDSIEVJ220T
R851
ERDSIFVJ2R2T
|
1/W
22
A
R891
ERDS2TJ102
|
1/4¥
1K
R894
ERDS2TJ102
|
1/4¥
1K
R895
ERDS2TJ103
|
1/4¥
10K
R901
ERDS2TJ152
|
1/4¥
1.5K
R903
jERDS2TJS63
|
L/W
56K
ERDS2TJ123
|
1/4W
12K
{ERDS2TJ103
|
1/4W
10K
R224
ERDS2TJ223
1/4W#
(22K
R227
ERDS2TJ104
|
1/48
100K
R228
ERDS2TJ123
1/4W
12K
R229
ERDS2TJ102
1/4#
1K
R2
:ERDS2TJ104
|
1/48
=
100K
R2
30
31
jERDS2TJ471
|
1/4W
470
32
R2
ERDS2TJ122
1/4W
1.2K
eis
ews
anata
R240
ERDS2TJ152
L/W
1.5K
R301
ERDS2TJ333
1/AW
33K
R302
ERDS2TJ151
1/4¥
150
ERDS2TJ223
1/48
22K
R487,488
|ERDS2TJ122
|
1/4f#
1.
2K
R489,
490
|
ERDS2TJ821
1/4¥
820
R503,
504
|
ERDS2TJ103
1/4¥
10K
R513,
514
|
ERDS2TJ393
1/48
=
39K
RS17,
518
[ERDS2TJ102
RS22A
ERDS2TJ153
|
1/4¥
15K

Related product manuals