EasyManua.ls Logo

Technics RS-B555 - Resistors and Capacitors List; Capacitor Specifications

Technics RS-B555
45 pages
Print Icon
To Next Page IconTo Next Page
To Next Page IconTo Next Page
To Previous Page IconTo Previous Page
To Previous Page IconTo Previous Page
Loading...
ated
shelots)
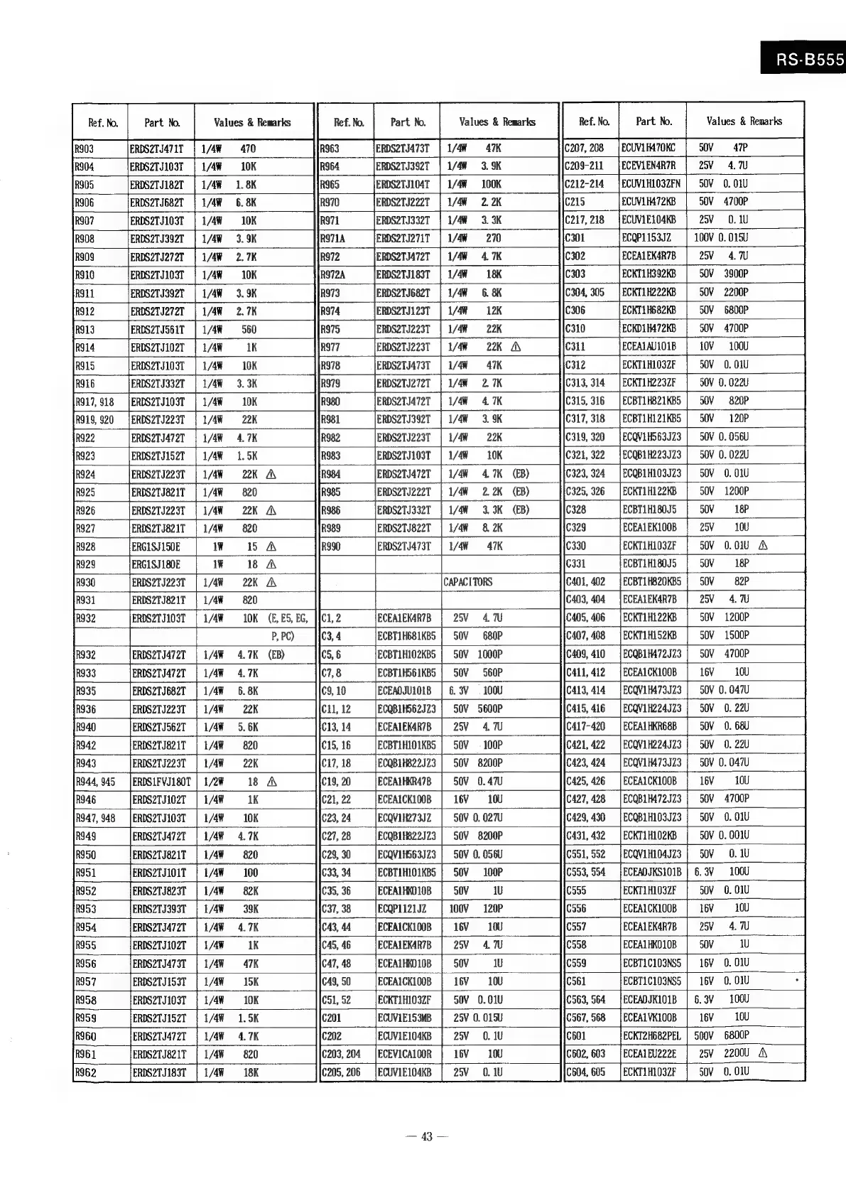
Ref.
No.
Part
No.
Values
&
Remarks
.
No.
Values
&
Remarks
ERDS
1/®
47K
2TJ471T
ECUVLHA70KC
47P
ERDSZTJ103T
ECEVIENAR7R
4.1
ERDS2TJ1827
ECUVIHLOSZEN
0.
01
ERDS2TJ682T
ECUVLHA72KB
4700?
ERDS2TJ1O3T
;
|ecuviEi04Ke
0.1U
ERDS2TJ3921
ECQP1153J2
|
100V
0.
015
ERDS2TJ272T
ECEALEK4R7B
|
25V
4.
7U
ERDS2TJIO3T
ECKTLH392KB
|
SOV
3900P
ERDS2TJ3927
ECKTIH222KB
|
50V
2200
ERDS2TJ2727
2.7K
ECKTLH682KB
|
50V
6800P
ERDS2TJ561T
560
ECKDIH472KB
|
SOV
4700P
ERDS2TJ102T
1K
EceaLALIOI®
|
IOV
_
1000
ERDS2TJ103T
10K
ECKTINIO32F
|
SOV
0.
O1U
ERDS2TJ3327
3.
3K
1/4
ECKTIH2232F
|
50V
0.0220
ERDS2TJ103T
10K
1/4
316
[ECBTIH821KB5
|
50V
820
ERDS2TJ223T
22K
1/4
ECBTLHI21KB5
|
SOV
120P
ERDS2T.J472T
4.7K
1/4W
ECQVLHS63J23
|
SOV
0.
056U
1.
5K
1/4W
ECQB1H223JZ3
|
SOV
0.0220
22K
1/4
324
|ECOBIHIO3IZ3
|
SOV
0.
O1U
820
1/W
2.
326
|ECKTIH122KB
|
SOV
1200P
ERDS2TJ2231
22K
1/3,
ECBTIHI80J5
|
50V
18P
ERDS2TJ821T
8
1
ECEALEK100B
|
25V
100
20
/4#
R990
ERDS2TJ4737
ECKTINLO3ZF
|
SOV
0.01
A
a
es
eT
ERDS27J223T
a
ea
ECBTLH820KBS
|
SOV
82?
ERDS2TJ8217
We
“osteo
2th
=
sp
apa
|
ECEALEKAR7B
|
25V
4.
7U
|
TP)
ca,
4
=
ECBTIHB81KBS
|
SOV
680P
ECKTIHIS2KB
|
SOV
1500P
ee
OO
50V
16V
100
560P
ECEAICK100B
6.3V
=
100U
ECQV1H4A73JZ3
|
SOV
0.
047U
SOV
5600P
ECQV1H224JZ3
|
SOV
0.
22U
25y.
4.
0
ECEA1HKR68B
s0V
0.
68U
SOV
=
100P
ECQVIH224JZ3
|
SOV
0.
22U
SOV
8200P
ECQVIHA73JZ3
|
50V
0.
047U
ERDS1FVJ180T
k
SOV
0.47U
ECEA1CK100B
16V.
100
ERDS2TJ102T
16V.—10U
,
ECQB1H472JZ3
|
SOV
4700P
SOV
0.
027U
,
ECQB1H103JZ3
|
SOV
0.
O1U
SOV
8200P
:
ECKT1H102KB
50V
0.
O01U
50V
0.
0560
,
ECQV1H104JZ3
|
SOV
0.
1U
s0V.
100P
|ECEAOJKS101B
6.3V
1
00U
1U
ECKT1H1032F
S0V
0.
OU
120P
ECEA1CK100B
16V.—-10U
10U
ECEA1EK4R7B
25v.
4.
7U
ERDS2TJ102T
47
ECEA1HKO10B
50V
iu
ERDS2TJ473T
WU
ECBT1C103NS5
|
16V
0.
O1U
ERDS2TJ153T
10U
ECBT1C103NS5
|
16V
0.
O1U
ERDS2TJ103T
S0¥
0.01U
|
ECEADJK101B
6.3V
100U
ERDS2TJ152T
20V
0.
01
d
ECEA1VK100B
16V.—-10U
ERDS2TJ472T
ECKT2H682PEL
|
500V
6800P
ERDS2TJ821T
ECEVICA100R
:
ECEA1EU222E
25v
2200U
ERDS2TJ183T
ECUVIE104KB
ECKT1HL03ZF
50V
0.
O1U

Related product manuals