EasyManua.ls Logo

Technics RS-BX828 - Capacitor Values List

Technics RS-BX828
39 pages
Print Icon
To Previous Page IconTo Previous Page
To Previous Page IconTo Previous Page
Loading...
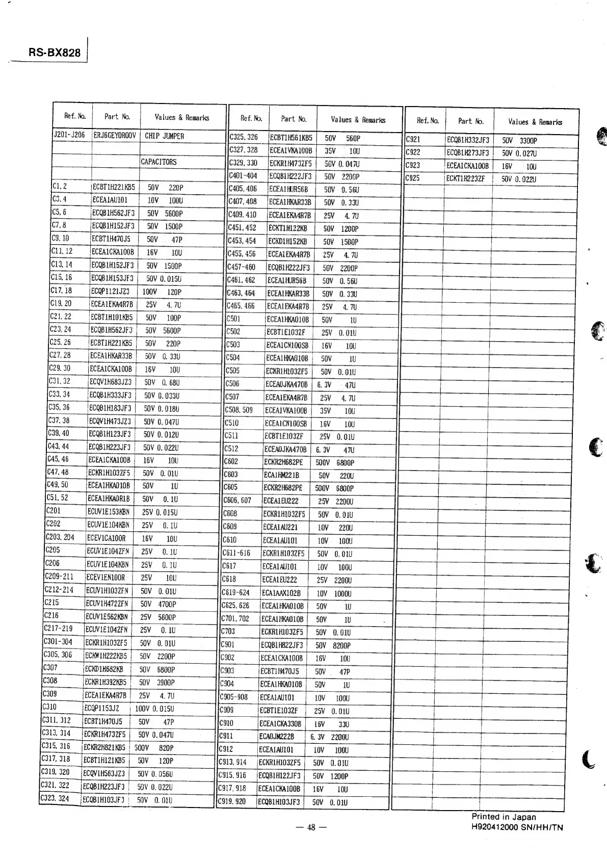
RS-BX828
J201-J206
|ERJ6GEYGROOV
|
CHIP
JUMPER
t
Values
&
Remarks
€325,
326
SOV
560P
ECBT1H56
1KB5
Part
No.
Values
&
Remarks
ECQBIH332JF3
|}
SOV
3300P
€327,
328
ECEALVKA1O0B
|
35V
=
-10U
ECQBLH273JF3
|
50V
0.027U
aes
'ECEAICKALOOB
|
16V
10U
~_[caPactTors
€329,
330
=
|ECKRIH4732F5
|
SOV
0.
047U
iS
=
:
L
C401-404
|ECQBIH222JF3
|
5OV
2200P
C925
ECKT1H2232F
|
SOV
0.022U
+
Y
(ECBT1H221KBS
|
SOV
220P
\ECEAIHURS6B
SOV
0.
S6U
i
if
+
ECEAIAUION
|
10V
100U
~
TECEALHKARI3B
SOV
0.
33U
TECOBIHS62JF3
|
SOV
S600P
ECEALEKA4R7B
25V.
4.
7U
C7,
8
jECOBIHIS2/F3
SOV
1500P
:
ECKT1H122KB
SOV
1200P
C9.
10
ECBT1H470J5
s0Y
=
47P
C453,
454
|ECKDIHIS2KB
|
SOV
1500P
ECEAICKALOOB
;
16V
10U
——+~
_|ECEALEKAAR7B
20
4.70
ECQBLH222JF3
|
SOV
2200P
{ECEALEKA4R7B
|
25V
4.
7U
C13,
14
ECQBIMIS2IF3
|
s0V
1500P
0457-460
¥
ECQBIHIS3JF3
|
SOV
0.
015U
C461,462
|ECEA1HURS6B
SOV
0.
S6U
j£CQP1121523
|
100V
120P
C463,
464
|
ECEALHKAR33B
|
SOV
0.33U
~_|EGEALEKAaRTB
v4
+
ECBTIHIOLKBS
|
SOV
100P
eceatrtanioe
|”
50v.
WU
TECOBLHS62JF3
r
30V
5600P
{
_|ECBTIELO3ZF
|
25V
—_}———_
IECBTIH221KB5
|
SOV
220P
ECEALCNIOOSB
|
16V
10U
jECEAIHKARS3B
|
50V
0.
330
ECEAICKA100B
|
16V
10U
ECQVIH6B3JZ3
|
SQV
0.
68U
[ECQBIH333JF3
|
SOV
0.0330
ECQBIHI83JF3
|
SOV
0.0180
ECQVIHA73J23
|
SOV
0.0470
ECOBIHL23JF3
|
SOV
0.012U
ECQBIH223JF3
|
SOV
0.
022U
507
C512
[ECEALHKAOLOB
|
SOV.
IU
C505
ECKRIH1O3ZF5
|
SOV
0.
01U
C506
jECEAQJKA470B
|
6.3V
9
47U
ECEALEKA4R7B
|
25V
4.
7U
C508,
508
ECEAVKA100B
|
35V
100
C510
ECEALCN1OOSB
CSL
ECBTIE103ZF
16V
100
25V
0.
01U
ECEAQJKA470B
|
6.3V
©
47U
ic45,
46
|ECEAICKALOOB
|
16V
i0U
C602
ECKR2HG82PE
ECKRIMLO3ZFS
|
SOV
0.
O1U
jesos——[ecaunwz2iB
|
Sov
2200
ECEAIHKADI0B
|
SOV
1U
C605
ECKR2H682PE
ECEALHKAORIB
|
SOV
0.10
ECEALEU222
~~
TECUVLEIS3KBN
25V
0.
015U
ECKRIHL032F5
|
5OV
0.
01U
ceed
Pech’
TECUVIEL04KBN
|
25V
0.
1U
ECEALAU221
10V
C203,
204
[ecevicatoor
|
i6V
10U
ECEALAU1O1
10V
C205
{ECUVIE104ZFN
25V
0.
WU
ECKRIHIO3ZFS
|
SOV
0.
01U
ECUVIELOAKBN
|
25¥
0.
1U
ECEALAULOI
1OV
1000
€209-211
“TECEVIENIOOR
25¥—10U
C618
“TECEALEU222
|
25¥
22000
eo
sal
(212-214
|ECUVIHI03ZFN
|
SOV
0.
O1U
(619-624
ECALAAX102B
|
10V.
1000U
C215
|ECUVIH4722EN
|
SOV
4700P
C625,
626
_{ECEALHKAQ10B
SOV
Ww
~~
TECUVIES62KBN
25V
5600P
ECEALHKAQ10B
}
SOV
WwW
A
ceaee
ts
er
c2i7-219
[eGuvIEI0MzFN
|
25V
0.10
ECKRIHIO3ZF5
|
SOV
0.010
C301-304
JECKRINIO3ZF§.
|
SOV
0.
O1U
fecabine22ue3
|
SOV
8200p
C305,
306
|ECKWIH222KB5
|
SOV
2200P
C902
\ECEAICKALOOB
|
16V
10U
¢307
ECKDIH682KB
|
SOV
6800P
C903
EcBTIHM70J5
|
SOV
47°
6308
ECKRIH392KB5
|
SOV
3900P
C904
ECEALHKADIOB
|
50V
IU
309
[ECEALEKAAR7B
|
25V
4.
TU
ECEAIAJIOL
|
10V
1000
+
1
a
Marca
cao
[ecapiisasz_
|
100V
0.
015U
~_[ecaTieIoazF
|
25
0.010
C311,
312
|ECBTIH470J5
|
SOV
47P
C910
ECEAICKA330B
|
16V
330
—+___..
ee
0
Se
ECKRIH4732F5
|
SOV
0.0470
ECAOJM2228
|
6,
3V
C315,
316
|ECKR2H821KB5
|
S00V
820P
ECEAIMUION
|
10V
100U
|
5
[ECE
ECBTIHI21KBS
|
50V
120P
‘[ECKRIHIOIZFS
|
SOV
0.010
ECQVIH563J23
|
SOV
0.
056U
916
|Eoqe1H122dF3
|
SOV
_1200P
TECQBIH223JF3
|
SOV
0.0220
C917,
918
|ECEAICKA100B
oe
———
ECQBIH1O3JF3'
SOV
0.
01U
ECQBIHIO3JF3
Printed
in
Japan
H920412000
SN/HH/TN

Related product manuals