EasyManua.ls Logo

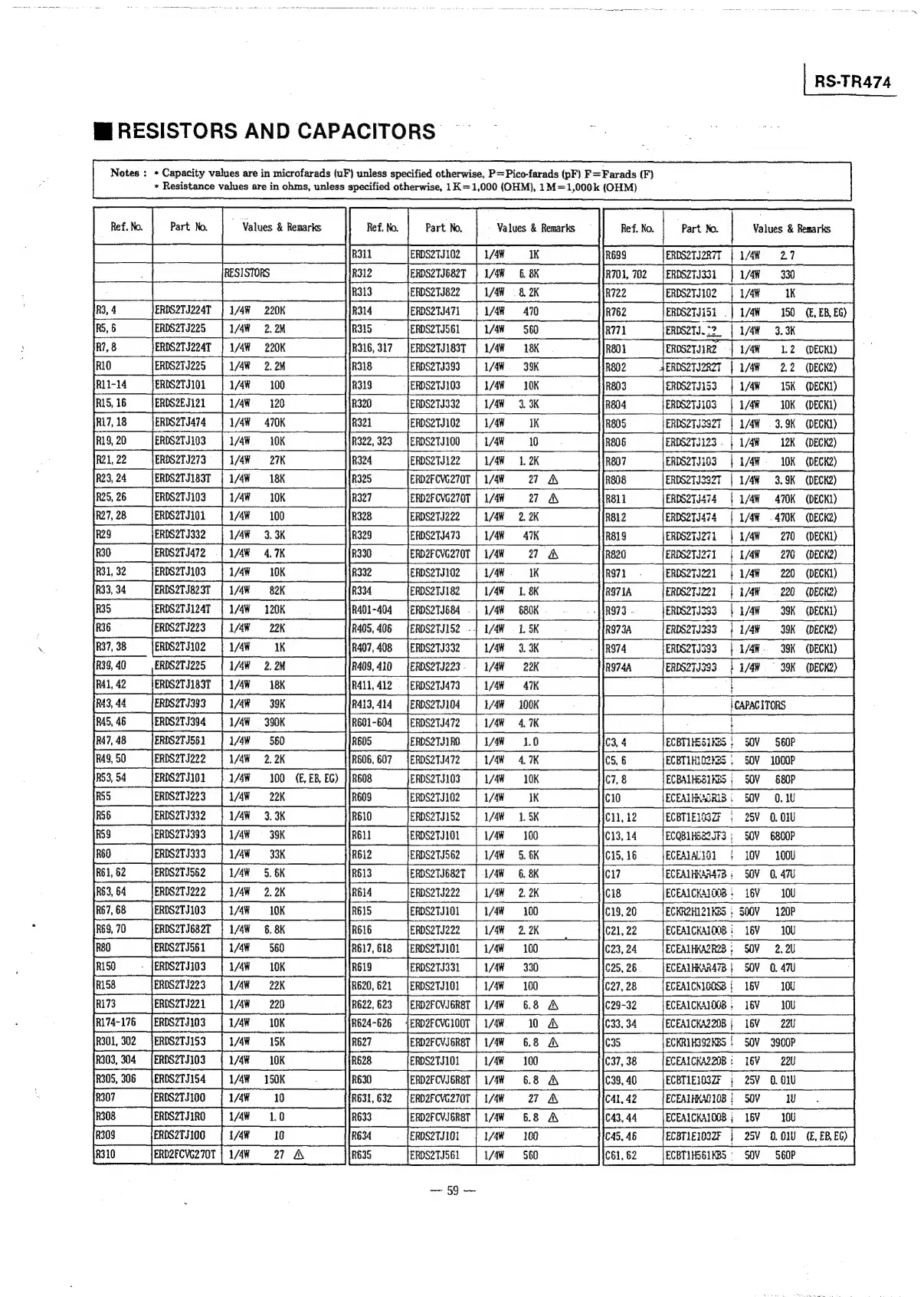
Technics RS-TR474 - RESISTORS AND CAPACITORS

Technics RS-TR474
50 pages
Print Icon
To Next Page IconTo Next Page
To Next Page IconTo Next Page
To Previous Page IconTo Previous Page
To Previous Page IconTo Previous Page
Loading...

Other manuals for Technics RS-TR474

Related product manuals