EasyManua.ls Logo

Technics RS-X501 - Resistors and Capacitors List; Resistor and Capacitor Specifications

Technics RS-X501
39 pages
Print Icon
To Next Page IconTo Next Page
To Next Page IconTo Next Page
To Previous Page IconTo Previous Page
To Previous Page IconTo Previous Page
Loading...
RS-X501
Mi
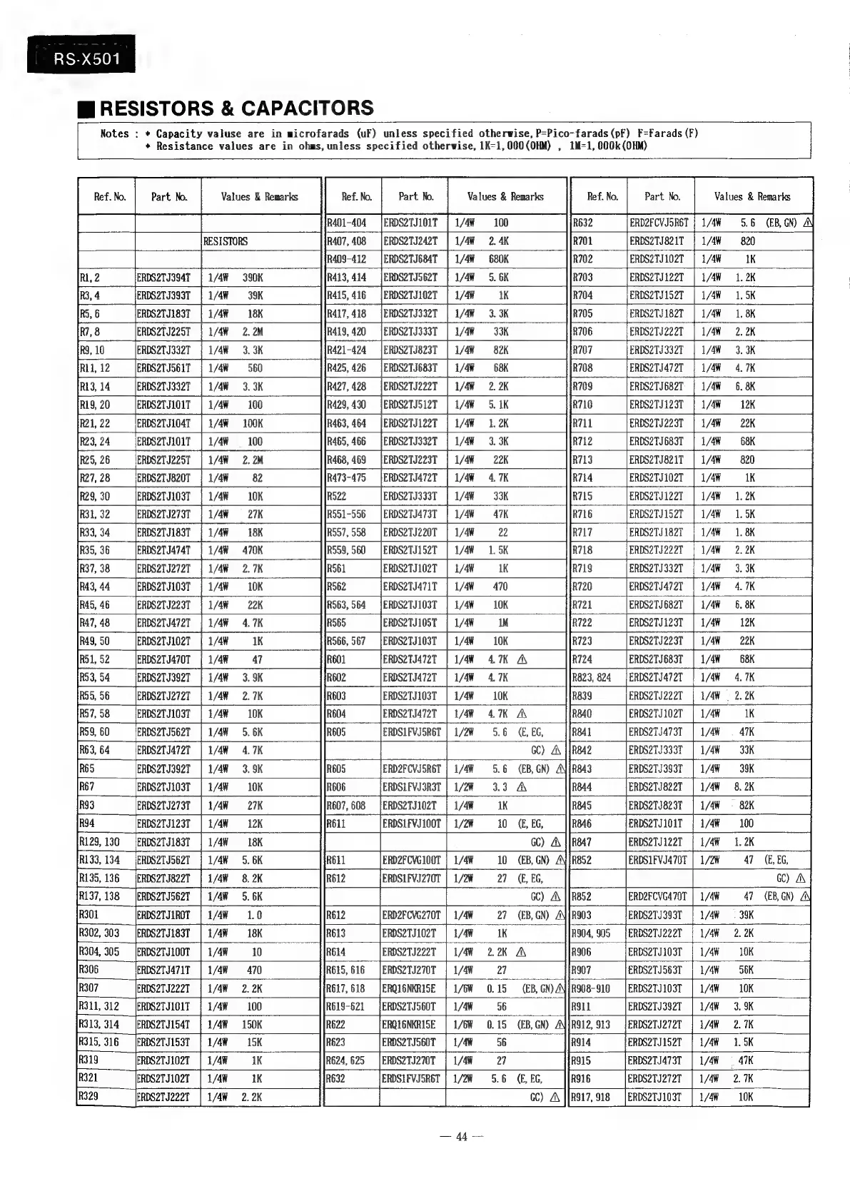
RESISTORS
&
CAPACITORS
|
Notes
:
*
Capacity
valuse
are
in
microfarads
(uF)
unless
specified
otherwise,
P=Pico-farads
(pF)
F=Farads
(F)
|
*
Resistance
values
are
in
ohms,
unless
specified
otherwise,
1K=1,
0GO(OHM)
,
1M=1,
000k(OHM)
Ref.
No.
Part
No.
Values
&
Remarks
Ref.
No.
Values
&
Remarks
.
No.
Values
&
Remarks
100
ERD2FCVJSRET
|
1/4¥
5.6
(EB,
GN)
2.
4K
ERDS2TJ821T
|
1/4¥
820
680K
ERDS2TJ102T
|
1/4
1K
ERDS2TJ394T
|
1/4¥
390K
5.
6K
ERDS2TJ122T
|
1/4W
1.2K
_[pRosetsasat
1/4¥
39K
1K
jERDS2TJ1527
1/48
1.5K
ERDS2TJi83T
|
1/4¥
18K
:
3.
3K
ERDS2TJ182T
|
1/4W
1.8K
ERDS2TJ225T
|
1/4W
2.
2M
F
33K
TERDS2TJ222T
1/AW
2.
2K
ERDS2TJ332T
|
1/4W
3.3K
82K
ERDS2TJ332T
|
1/48
3.
3K
ERDS2TJ561T
|
1/4¥
560
68K
ERDS2TJ472T
|
1/4W
4.7K
ERDS2TJ332T
|
1/4W
3.3K
ERDS2TJ
6827
|
1/4W
6.
8K
ERDS2TJ101T
|
1/4W
100
ERDS2TJi23T
|
1/4W
=
12K
ERDS2TJ104T
|
1/4W
100K
;
ERDS2TJ223T
|
1/4¥
=
22K
[ERDS2TJ
101T
|
1/AW
=
100
:
ERDS2TJ683T
|
1/4
68K
ERDS2TJ225T
|
1/4W
2.
2M
22K
ERDS2TJ821T
|
1/4¥
820
ERDS2TJ820T
|
1/4W
82
ERDS2TJ102T
|
1/4¥
1K
[ERDS2TJ1031
|
1/AW
10K
ERDS2TJ333T
33K
ERDS2TJ122T
|
1/4W
1.2K
ERDS2TJ273T
|
1/4W
=
27K
ERDS2TJ473T
47K
ERDS2TJ152T
|
1/4¥#
1.5K
ERDS2TJ183T
18K
ERDS2TJ220T
22
ERDS2TJ182T
|
1/4W
1.
8K
ERDS2TJ474T
|
1/4W
470K
R559,
560
ERDS2TJ222T
|
1/4W
2.
2K
ERDS2TJ272T
|
1/4¥
2.
7K
ERDS2TJ3321
|
1/4¥
3.
3K
ERDS2TJ103T
|
1/4W
10K
ERDS2TIA72T
|
1/4¥
4.
7K
ERDS2TI22IT
22K
ERDS2TJ682T
|
1/4W
6.8K
ERDS27J4727
R565
|ERDS2TJLOST
|
1/4H#
IM
ERDS2TJI23T
|
1/4¥
12K
ERDS2TJ102T
1/48
10K
ERDS2TJ2237
|
1/4¥
22K
ERDS2TJ470T
ERDS2TJ683T
|
1/4¥
68K
[ERDS2T/392
ERDS2TJ472T
,
ERDS2TJ472T
|
1/4W
4.
7K
ERDS2TJ272T
ERDS2TJ103T
ERDS2TJ222T
|
1/4W
=
2.2K
ERDS2TJ103T
ERDS2TJ472T
ERDS2TJ102T
|
1/4W
1K
ERDS2TJ562T
ERDSIFVJSRET
:
ERDS2TJ473T
|
1/4W
=
47K
ERDS2TJ472T
ERDS2TJ3337
|
1/4¥
33K
ERDS2TJ392T
ERD2FCVJSR6T
:
|ERDS2TJ
393T
|
1/4¥
39K
ERDS2TJ103T
ERDSLFVJ3R3T
.
ERDS2TJ822T
|
1/4¥
8.2K
ERDS2TJ273T
ERDS2TJ102T ERDS2TJ823T
|
1/4W
=
82K
ERDS2TJ123T
ERDSLFVJ100T
ERDS2TJ101T
|
1/4"
100
(ERDS2TJ
183T
ERDS2TJ122T
|
LAW
1.
2K
ERDS2TJ562T
ERD2FCVG100T ERDSIFVJ470T
|
1/28
47
(EEG,
~TERDS2T
822
ERDSLFVJ270T
GC)
AN
ERDS2TJS62T
ERD2FCVG470T
|
1/4
47
(EB,
GN)
ERDS2TJIROT
,
ERD2FCVG270T
ERDS2TJ393T
|
1/4¥
=
39K
ERDS2TJ183T
ERDS2TJ102T
;
TeRDS27J2227
|
1/4W
2.
2K
ERDS2TJ1O0T
ERDS2TJ222T
\
ERDS2TJ103T
|
1/4¥
10K
ERDS2TJ471T
ERDS2TJ270T
ERDS2TJ563T
|
1/48
56K
ERDS2TJ222T
ERQUGNKRISE
ERDS2TJ103T
|
1/4¥
=
10K
ERDS2TJ101T
ERDS2TJ392T
|
1/48
3.
9K
ERDS2TJ154T
ERDS2TJ272T
|
1/48
2.
7K
ERDS2TJ153T
ERDS2TJ152T
|
1/48 1.5K
ERDS2TJ102T
;
ERDS2TJ473T
|
1/48
=
47K
ERDS2TJ102T
ERDSIFVJSR6T
.6
(EEG,
ERDS2TJ272T
|
1/4¥
2.7K
ERDS2TJ222T
GC)
A\|{R917,918
JERDS2TJ103T
|
1/4¥
10K

Related product manuals