EasyManua.ls Logo

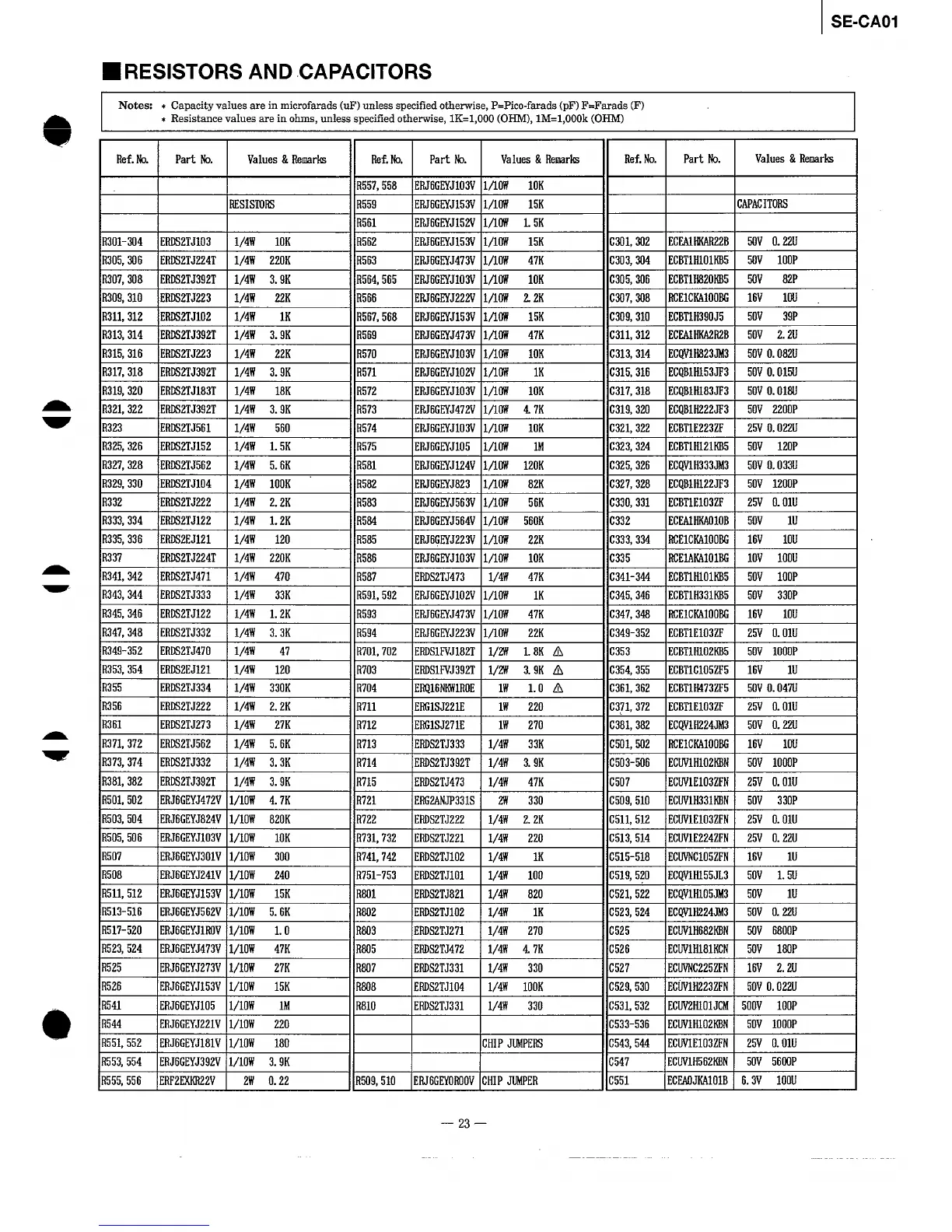
Technics SE-CA01 - Resistors and Capacitors

Technics SE-CA01
34 pages
Print Icon
To Next Page IconTo Next Page
To Next Page IconTo Next Page
To Previous Page IconTo Previous Page
To Previous Page IconTo Previous Page
Loading...

Related product manuals