EasyManua.ls Logo

Technics SU-G95 - Page 25

Technics SU-G95
28 pages
Print Icon
To Next Page IconTo Next Page
To Next Page IconTo Next Page
To Previous Page IconTo Previous Page
To Previous Page IconTo Previous Page
Loading...
Mi
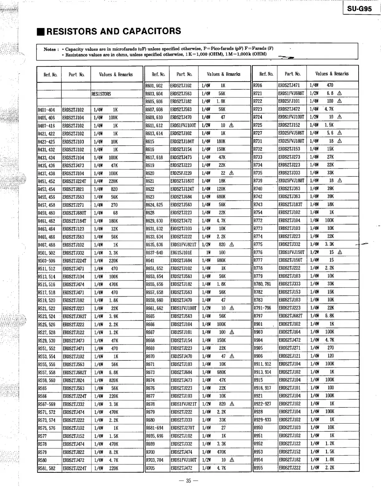
RESISTORS
AND
CAPACITORS
Notes
:
«
Capacity
values
are
in
microfarads
(uF)
unless
specified
otherwise,
P=Pico-farads
(pF)
F=Farads
(F)
+
Resistance
values
are
in
ohms,
unless
specified
otherwise,
1
K=1,000
(OHM),
1M=1,000k
(OHM)
1K
&
Remarks
470
ERDS2TJ102
R405,
406
=
|
ERDS2TJ104
R407-416
|
ERDS2TJ102
R421,
422
|
ERDS2TJ102
1/4¥
56K
1/4
R423-425
|ERDS2TJ103
ERD25FVJ180T
R431,
432
ERDS2TJ102
R433,
434
|ERDS2TJ104
ERDS2TJ153
ERDS2TJ273
R435,
436
ERDS2TU473_
|
1/4¥
47K
ERDS2TJ333
ERDS2TJ183T
4
ERD25FVJ180T
ERDS2TJ124T
ERDS2TJ393
ERDS2TJ104
R453,
454
|
ERDS2TJ821
R455,
456.
[ERDS2TJ563
R457,
458
=
|ERDS2TJ271
R459,
460
|
ERDS2TJ680T
ERDS2TJ393
270
ERDS2TJ183T
68
ERDS2TJ223
R461,
462
jERDS2TJ184T
va
180K
12K
ERDS2TJ472
ERDS2TJ103
1/48
=
10K
R633,
634
|
ERDS2TJ222
1/4¥#
2.
2K
R631,
632
637-640
|ERGISJ101E
W100
R503-506
|ERDS2TJ224T
|
1/4¥
220K
R511,
512
|
ERDS2TJ471
1/AW
470
Ri
Ri
R641
ERDS2TJ684
1/4
680K
635,636
|ERDSIFWJ82IT
|
1/2¥
820
A
R651,
652
_|ERDS2TJ102
a4
ar
R776
ERDSLFVJLSOT
ERDS2TJ15OT
BRDS2TI222
2K
10K
R513,
514
|
ERDS2TJ104
1/4¥
=
100K
1/48
56K
ERDS2TJ103
R515,516
|ERDS2TJ474
|
1/AW
470K
1/44
ERDS2TJ333
|
1/AN
33K
ERDS2TJ563
ERDS2TJ153
1/48
ASK
ERDS2TJ470
R517,
518
|
ERDS2TJ471
|
1/4W
470
R519,
520
|
ERDS2TJ182
1/4¥
1.8K
ERDS2TJ103
10K
ERDS2TJ223
R521,
522
|
ERDS2TJ223
1/AW
22K
R523,
524
=
{ERDS2TJ392T
1/AW
3.
9K
ERDS2TJ682T
1/48
22K
1/aW#
2.2K
ERDS2TJ102
|
1/4
1K
R627,
528
|ERDS2TJ122
|
1/4W
1.2K
ERDS2T104
|
1/4H
100K
BRDS2TJ473
|
1/4
47K
ERDS27472
|
1/4W
4.7K
ERDS2TJ471_
|
1/4¥
470
ERDS2T271
|
1/4¥
270
ERDS2TJ102
|
1/4
1K
ERDS2EJI21
|
1/4¥
120
ERDS2TI563
|
1/4W
56K
ERDS2TJ104
|
1/4¥
100K
BROS2TJ682T
|
1/4H
6.
8K
ERDS2TJ684
BRDS2TJ102
|
1/4¥
IK
R559,
560
[BRDS2T824
|
1/4W
820K
ERDS21J473
ERDS2TJ104
|
1/4H
100K
ERDS2TJ563
|
1/4H
56K
ERDS2TJ223
ERDS2TJ101
|
1/4H
100
ERDS2TJ224T
|
1/4W
220K
ERDS2TJ104
|
1/44
100K
ERDS2TJ332
|
1/4H
3.3K
ERDS2TJ102
|
1/4
IK
ERDS2TJ474
|
1/4W
470K
ERDS2TJ104
|
1/4¥
100K
BRDS27J222
|
1/4W
2.2K
ERDS27333
ERDS2TJ102
|
1/4H
IK
ERDS2TJ102
1/4¥
1K
ERDS2TJ152
1/4AW
1.5K
ERDS2TJ474
1/4¥
470K
ERDS2TJ270T
ERDS2TJ103
ERDS2TJ
102
ERDS2TJ122
ERDS2TJ822
1/48
8.2K
ERDS2TJ152
ERDS2TJ472
1/AW
4.7K
ERDS2TJ182
R581,
582
ERDS2TJ224T
|
1/4¥
220K
ERDS2TJ222
£8
A
100
A

Related product manuals