EasyManua.ls Logo

Ten-Tec JUPITER - Page 51

Ten-Tec JUPITER
92 pages
Print Icon
To Next Page IconTo Next Page
To Next Page IconTo Next Page
To Previous Page IconTo Previous Page
To Previous Page IconTo Previous Page
Loading...
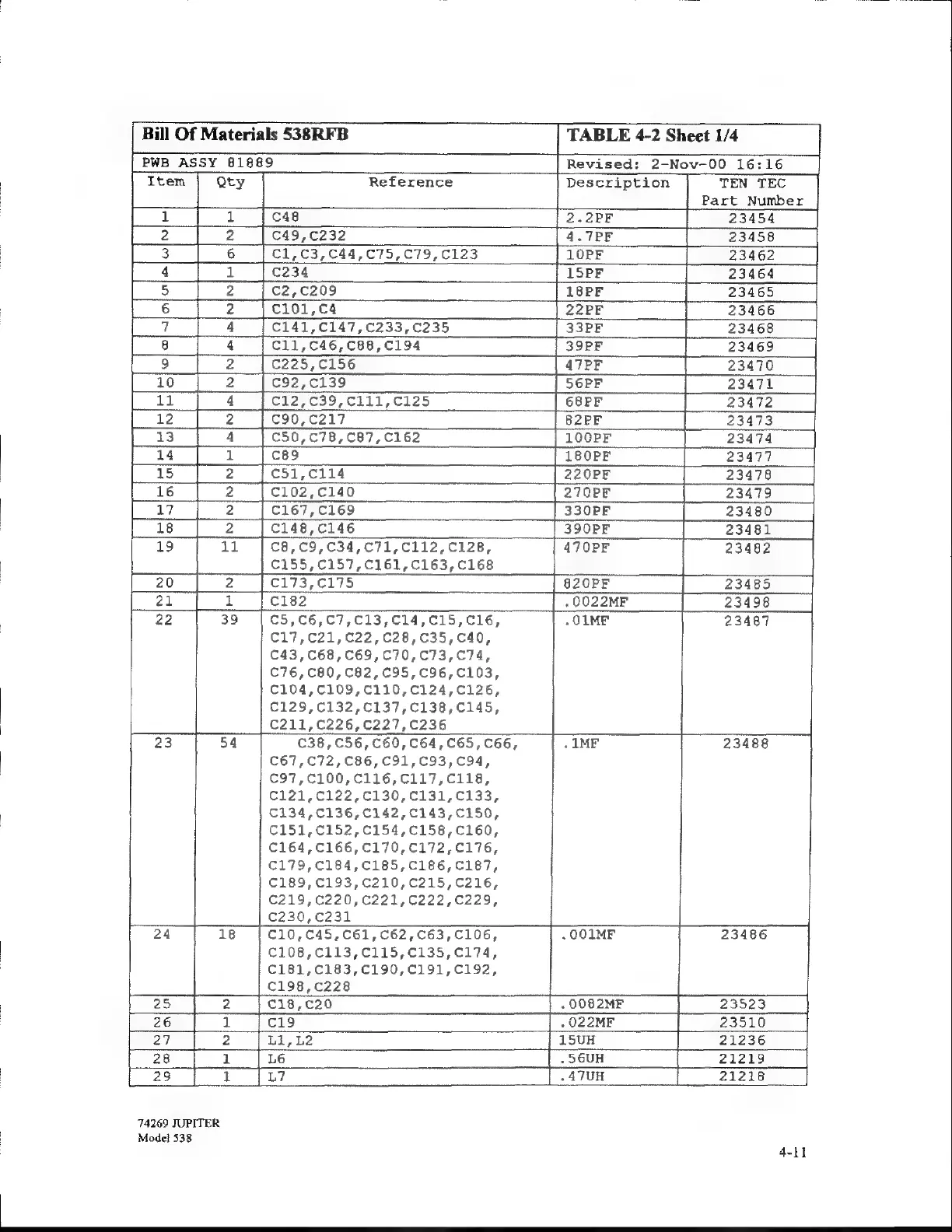
Bill
Of
Materials
538RFB
TABLE
4-2
Sheet
1/4
PWB
ASSY
81889
Revised:
2-Nov-00
16:16
Item
Qty
Reference
Description
TEN TEC
Part
Number
1
1
2.2РЕ
23454
2
2
C49,C232
4.7РЕ
23458
I"
3 6
C1,C3,C44,C75,
C79,
C123
ТОРЕ
23462
4
|
1
C234
15РЕ
23464
5 2
18PF
23465
6
23466
7
4
ЗЗРЕ
23468
8
|
4
|
Cli,
с46,
668,
C194
39PF
23469
9
2
А7РЕ
23470
10
2
с92,с139
56РЕ
23471
11
4
С12,С39,С111,С125
68PF
23472
12
C90,C217
|
82PF
23473
|
13
|
4
|С50,С78,С87,С162
100РЕ
23474
1
C89
180PF
23477
2
С51,С114
220РЕ
23478
16
2
C102,C140
270PF
23479
С167,С169
330РЕ 23480
390PF
23481
19
11
|C8,C9,C34,C71,C112,C128,
470РЕ
23482
E
С157,С161,С163,С168
23485
23498
22
C5,C6,C7,C13,C14,C15,C16,
OME
23487
C17,C21,C22,C28,C35,C40,
C43,C68,C69,C70,C73,C74,
C76,C80,C82,C95,C96,C103,
C104,C109,C110,C124,C126,
C129,C132,C137,C138,C145,
C211,C226,C227,C236
|
23
54
C38,C56,C60,C64,C65,C66,
.1MF
23488
C67,C72,C86,C91,C93,
C94,
C97,C100,C116,C117,C118,
C121,C122,C130,C131,C133,
с134,с136,с142,с143,с150,
C151,C152,C154,C158,C160,
C164,C166,C170,C172,C176,
C179,C184,C185,C186,C187,
C189,C193,C210,C215,C216,
C219,C220,C221,C222,C229,
|
с230,с231
24
18
|
с10,с45,
сет,
с62,сез,
C106,
.001МҒ
23486
|
C108,C113,C115,C135,C174,
C181,C183,C190,C191,C192,
|
с198,с228
23:23
25
2
|c18,c20
.
0082MF
2
26
1
C19
23510
|
27
2
11,12
21236
|
28
|
1
16
21219
|
29
1
L7
21218
74269
JUPITER
Model
538

Related product manuals