EasyManua.ls Logo

Ten-Tec JUPITER - Page 52

Ten-Tec JUPITER
92 pages
Print Icon
To Next Page IconTo Next Page
To Next Page IconTo Next Page
To Previous Page IconTo Previous Page
To Previous Page IconTo Previous Page
Loading...
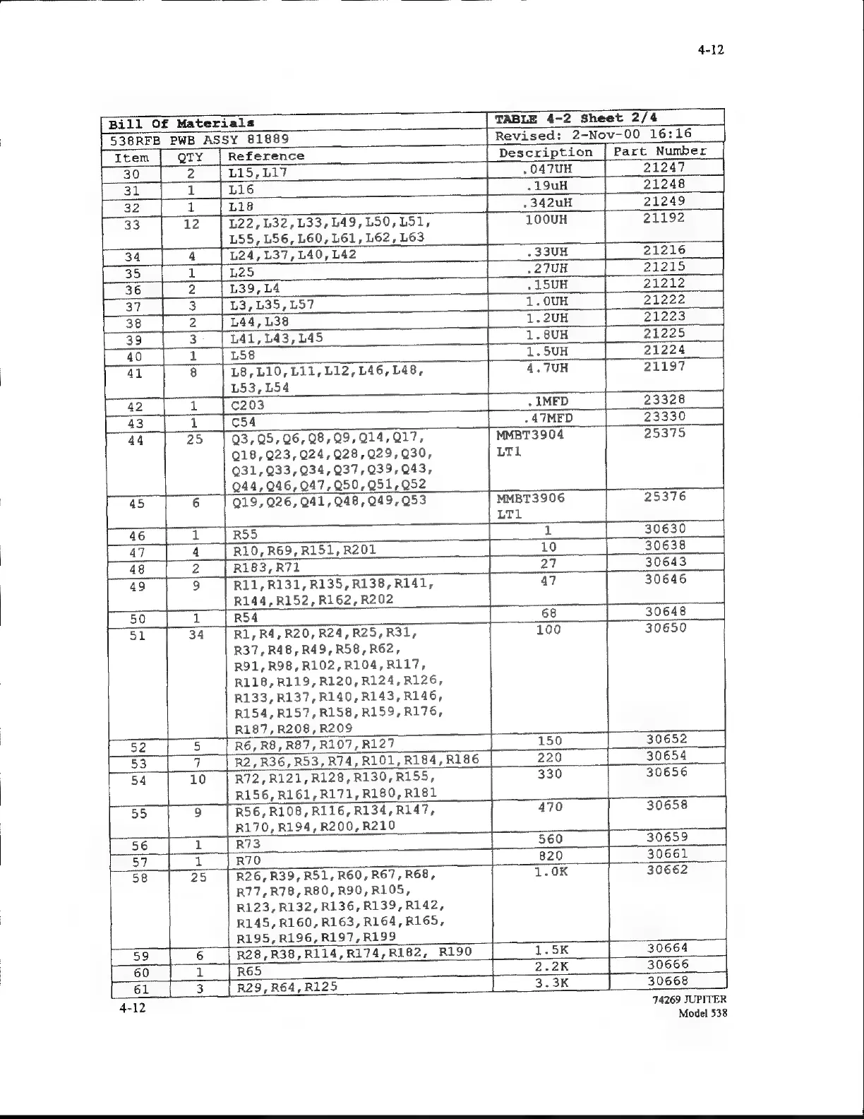
Bill
Of
Materials
TABLE
4-2
Sheet
2/4
538RFB
PWB
ASSY
81889
Revised:
2-Nov-00
16:16
Item
|
ОТҮ
Reference
Description
|
Part
Number
30
2
115,117
.047UH
21247
31
1
116
.19uH
21248
[
32
1
L18
.342uH
21249
|
33
12
122,132,133,149,150,151,
100UH
21192
155,
L56,
L60,
L61,
L62,
163
34
4
L24,L37,L40,L42
.33UH
21216
35
|
1
1125
.27UH
21215
z
36
2
L39,L4
.15UH
21212
37
|
3
|13,135,157
1.0UH
21222
38
|
2
144,
138
1.2UH
21223
39
3
141,143,
145
1.8UH
21225
40
|
1
L58
1.5UH
21224
41
8
L8,L10,L11,L12,L46,L48,
A.
ТОН
21197
153,154
C203
.
IMFD
23328
43
1
[c54
„47МЕР
23330
44
25
103,05,06,08,09,014,017,
ммвт
3904
25375
018,023,024,028,029,030,
LTi
031,033,034,037,039,043,
044,046,047,050,051,052
45
6
019,026,041,048,049,053
ММВТ3906
25376
46
1
R55
1
30630
Г
47
|
4
|R10,R69,R151,R201
10
30638
46
|
2
Rs,
__—
c
Jo
o
o7
|
3063
|
49
9
R11,R131,R135,R138,R141,
47
R144,R152,R162,R202
sii
е
Ei
30648
51
34
|
Ri,R4,
R20,
R24,
R25,
R31,
100
30650
R37,
R48,
R49,
R58,
R62,
R91,R98,R102,R104,R117,
R118,R119,R120,R124,R126,
R133,R137,R140,R143,R146,
R154,R157,R158,R159,R176,
R187,R208,R209
|
52
5
R6,
R8,
R87,
#2107,
2127
150
30652
53
7
R2,R36,
R53,
R74,
R101,
R184,
R186
220
30654
54
10
|
R72,R121,R128,R130,R155,
330
|
30656
R156,R161,R171,R180,R181
55
9
R56,R108,R116,R134,R147,
470
30658
R170,R194,R200,R210
ni
56
1
873
560
30659
[s<
T
1
-]
R70
820
30661
58
|
25
"|
R26,
R39,
R51,
R60,
R67,
R68,
1.0K
30662
R77,R78,R80,R90,R105,
R123,R132,R136,R139,R142,
R145,R160,R163,R164,R165,
R195,R196,R197,R199
59
T
6
R28,R38,R114,R174,R182,
R190
1.5К
30664
60
R65
2.2K
30666
[
ei
|
3
|
R29,R64,R125
3.3K
30668
"
4-12
74269
JUPITER
Model
538

Related product manuals