EasyManua.ls Logo

Trane YSC060E - Supply Air Temperature Reset; Supply Duct Static Pressure Control

Trane YSC060E
68 pages
Print Icon
To Next Page IconTo Next Page
To Next Page IconTo Next Page
To Previous Page IconTo Previous Page
To Previous Page IconTo Previous Page
Loading...
Unit Start-Up
50 RT-SVX21N-EN
Daytime Warm-up (DWU) Control
Daytime Warm-up is applicable during occupied status
and when the zone temperature is below the initiation
temperature. It can be activated or deactivated through
ICS or a night setback zone sensor. If ICS or a night setback
zone sensor is not utilized, DWU can be activated by
setting the DWU enable DIP switch (RTAM) to ON and
supplying a valid morning warm-up setpoint.
The unit is shipped with a Morning Warm-up setpoint
configured and the DaytimeWarm-up function is activated
(switch on). Opening the DWU enable switch will disable
this function.
If the system control is local, the DWU initiation setpoint is
3°F below the MorningWarm-up setpoint.The termination
setpoint is equal to the Morning Warm-up setpoint.
If the system control is remote (Tracer™), the DWU
setpoint is equal to theTracer Occupied heating setpoint.
The initiation and termination setpoints are selectable
setpoints designated byTracer.
When the zone temperature meets or exceeds the
termination setpoint while the unit is in an Occupied,
Auto” Mode or switched to the “Cooling” Mode, the unit
will revert to the cooling operation.
If an Occupied “Heating” Mode is selected, the unit will
only function within the DWU perimeters until the system
is switched from the “Heat” Mode or enters an
Unoccupied status.
Note: When a LCI is installed on a VAV unit, the MWU
setpoint located on the RTAM board is ignored.The
MWU and DWU setpoints come from the higher
priority LCI-R DAC.
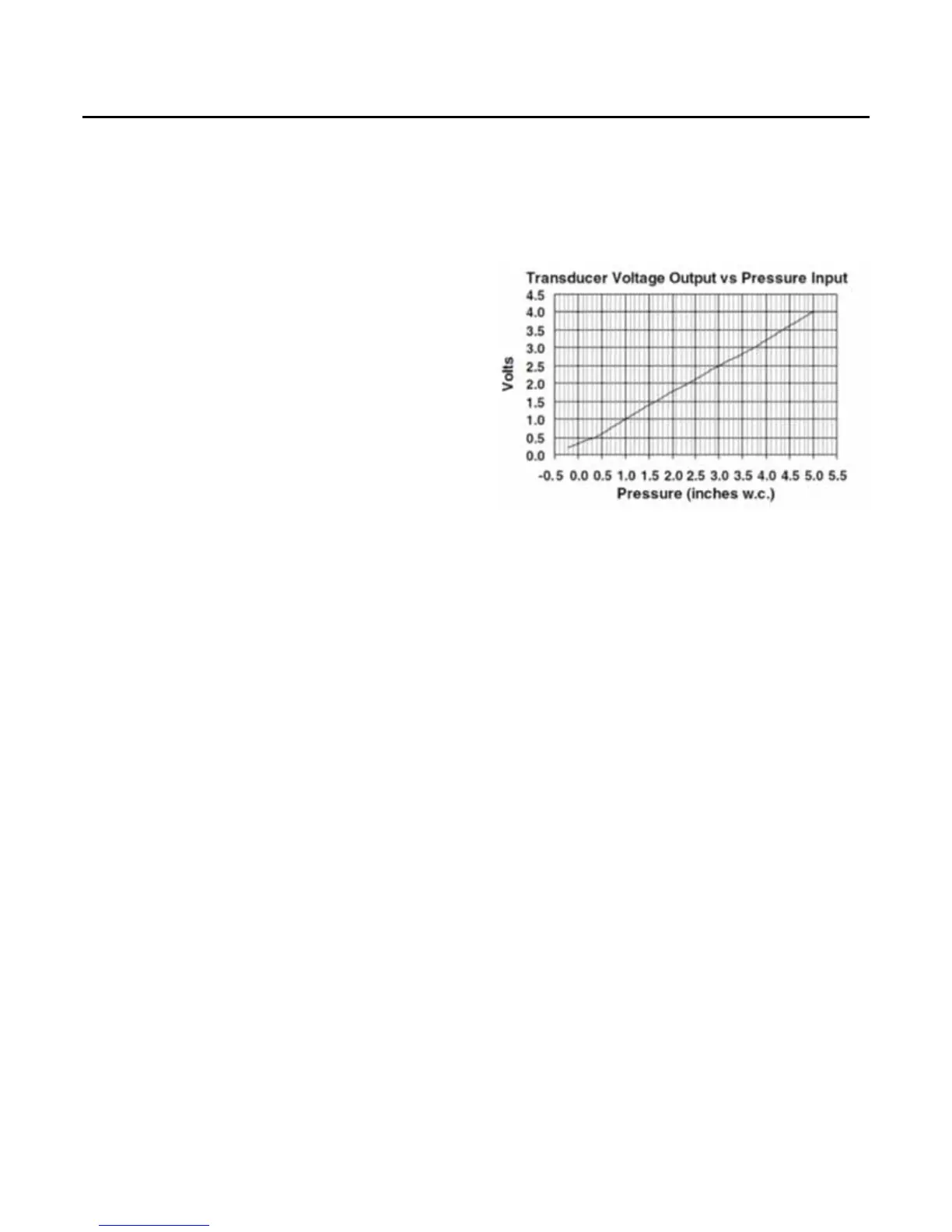
Supply Duct Static Pressure Control
The supply duct static pressure is measured by a
transducer with a 0.25 to 2.125 Vdc proportional output
which corresponds to an adjustable supply duct static
pressure of 0.3" w.c. to 2.5" w.c. respectively with a
deadband adjustment range from 0.2" w.c. to 1.0" w.c.The
setpoint is adjustable on the RTAM Static Pressure
Setpoint potentiometer or through ICS.
Example:
Supply Duct Static setpoint = 2.0" w.c. (RTAM)
Deadband = 0.2" w.c. (RTAM)
Duct Static Control Range = 1.9" w.c. to 2.1" w.c.
Supply Air Temperature Reset
The supply air temperature can be reset by using one of
four DIP switch configurations on the RTAM or through ICS
when a valid supply air reset setpoint with a supply air
reset amount is given. A selectable reset amount of F to
20°F via RTAM potentiometer or ICS is permissible for each
type of reset.
The amount of change applied to the supply air
temperature setpoint depends on how far the return air,
zone, or outdoor air temperature falls below the reset
temperature setpoint. If the return air, zone, or outdoor air
temperature is equal to or greater than the reset
temperature setpoint, the amount of change is zero.
If the return air, or zone temperature falls 3°F below the
reset temperature setpoint, the amount of reset applied to
the supply air temperature will equal the maximum
amount of reset selected.
If the outdoor air temperature falls 20°F below the reset
temperature setpoint, the amount of reset applied to the
supply air temperature will equal the maximum amount of
reset selected.The four DIP switch configurations are as
follows:
1. None - When RTAM DIP Switch #3 and #4 are in the
Off position, no reset will be allowed.
2. Reset based on Return AirTemperature - When RTAM
DIP Switch #3 is Off” and Switch #4 is On”,a
selectable supply air reset setpoint of 50°F to 90°F via
a unit mounted potentiometer orTracer™ is
permissible.
3. Reset based on ZoneTemperature - When RTAM DIP
Switch #3 is On” and Switch #4 is “Off”, a selectable
supply air reset setpoint of 50°F to 90°F via RTAM
potentiometer orTracer is permissible.
Figure 56. Transducer voltage output vs. pressure input

Table of Contents

Other manuals for Trane YSC060E

Related product manuals