EasyManua.ls Logo

Trebor Mega 960D - Page 9

Trebor Mega 960D
31 pages
Print Icon
To Next Page IconTo Next Page
To Next Page IconTo Next Page
To Previous Page IconTo Previous Page
To Previous Page IconTo Previous Page
Loading...
MEGA 960D PUMP OPERATION / MAINTENANCE MANUAL PAGE 9
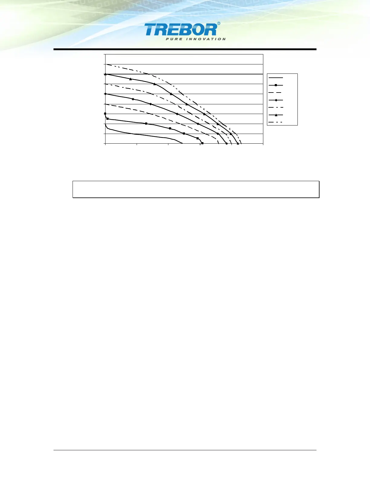
Figure 3-1: Pressure & Capacity Chart
NOTE: Test information is based on specific conditions and limited sampling.
Use for general reference only.
MTD0371
0
10
20
30
40
50
60
70
80
90
0 5 10 15 20 25
Flow Capacity - GPM
Discharge Pressure - PSIG
20 psi
30 psi
40 psi
50 psi
60 psi
70 psi
80 psi