EasyManua.ls Logo

Tripp Lite APS 1024 INT - Page 3

Tripp Lite APS 1024 INT
40 pages
Print Icon
To Next Page IconTo Next Page
To Next Page IconTo Next Page
To Previous Page IconTo Previous Page
To Previous Page IconTo Previous Page
Loading...
3
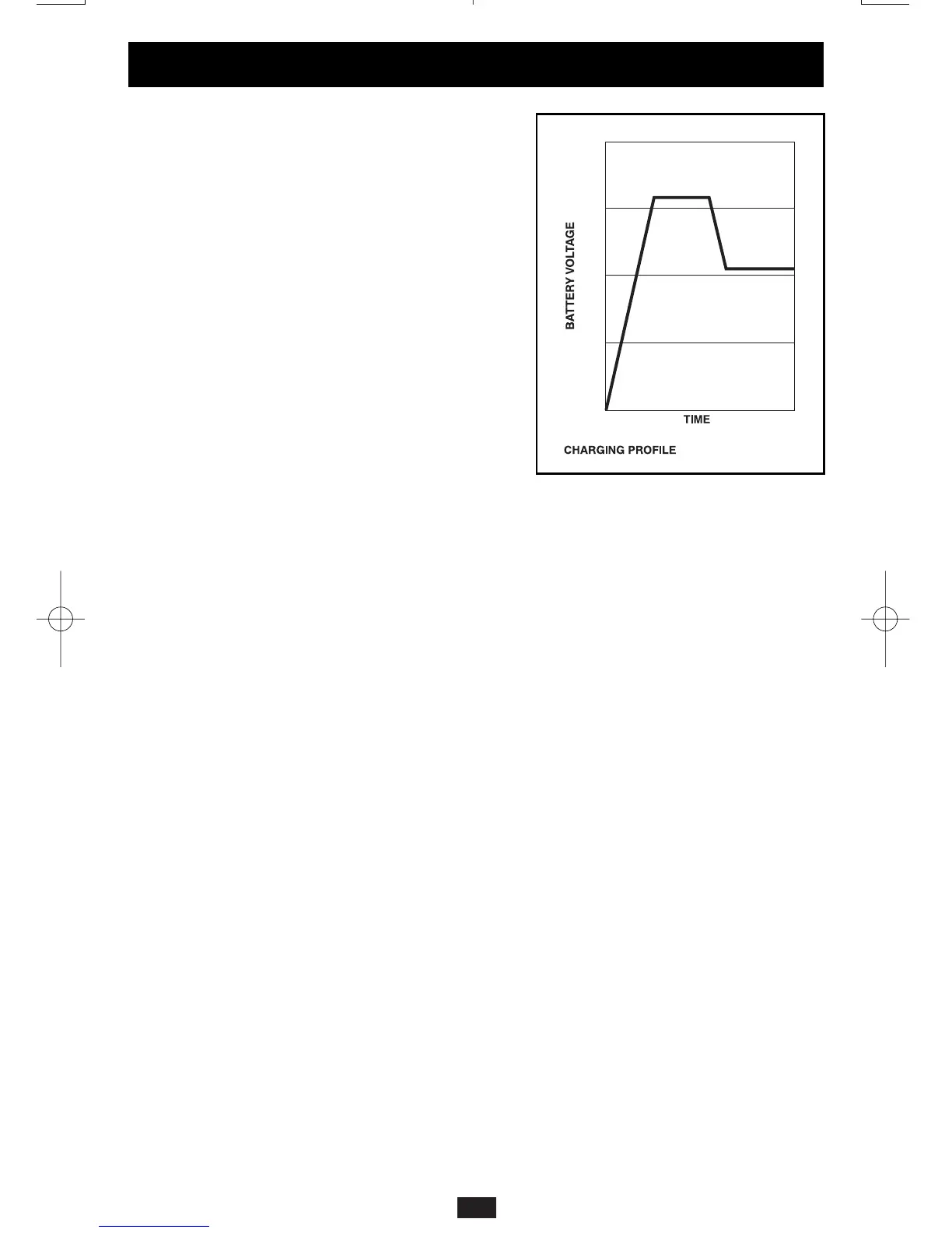
3-Stage Battery Charger
Your APS recharges your battery faster than
conventional chargers because its three-stage
charger profile (Bulk, Absorption and Float) are
optimized, regardless of the type of battery you
use (Wet or Gel).* In addition, the advanced
charging system protects against over-charge
and over-discharge to ensure a longer service
life from your battery.
* The Absorption and Float levels vary according to battery
type, which can be set to either “Wet” or “Gel”cell.
Load Sharing
Your APS can be set to limit its own battery
charging current so it can charge its
batteries at the quickest rate possible without
overloading its power input circuits.
Frequency-Controlled
Inverter Output
Your APS has frequency-controlled inverter out-
put, which allows devices dependent on AC line
frequency (such as computers, VCRs, CD play-
ers, tape recorders, clocks and turntables) to
operate properly.
Circuit Board Protection
A silicone conformal coating safeguards the
circuit boards against moisture.
Introduction
continued
15
14
13
12
Stage 2
Absorption
Stage 3
Float
Stage 1
Bulk
200201192 UL-Listed APS Manual.qxd 5/17/02 12:41 PM Page 3

Other manuals for Tripp Lite APS 1024 INT

Related product manuals