EasyManua.ls Logo

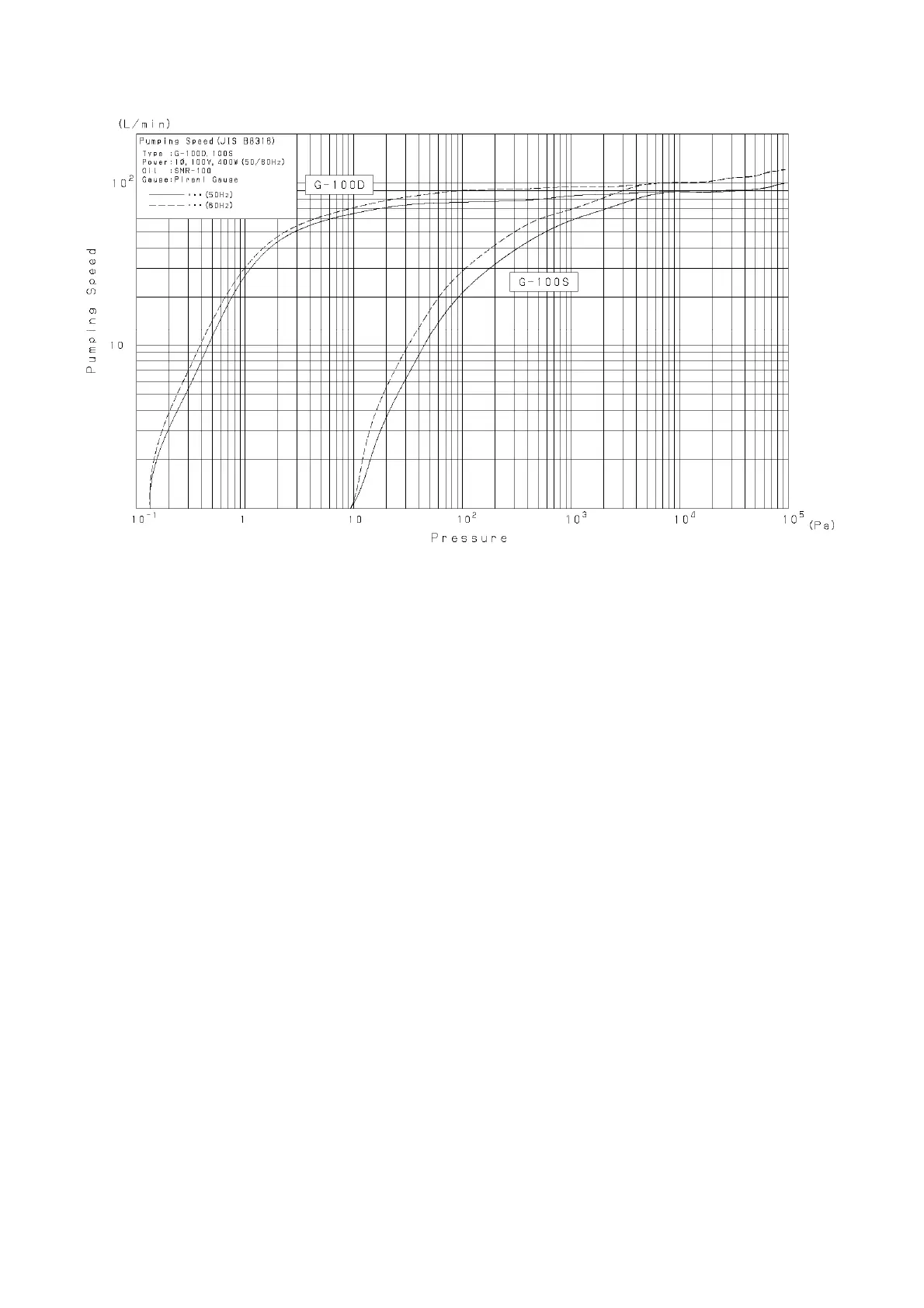
Ulvac G-100D - Fig. 8 Pumping Speed Curve

Ulvac G-100D
50 pages
Print Icon
To Next Page IconTo Next Page
To Next Page IconTo Next Page
To Previous Page IconTo Previous Page
To Previous Page IconTo Previous Page
Loading...
-19-
Fig. 8 Pumping speed curve

Table of Contents

Related product manuals