EasyManua.ls Logo

Vacon OPT-A2 - Page 4

Vacon OPT-A2
23 pages
Print Icon
To Next Page IconTo Next Page
To Next Page IconTo Next Page
To Previous Page IconTo Previous Page
To Previous Page IconTo Previous Page
Loading...
4 • vacon Introduction
Tel.+358 (0)201 2121 • Fax +358 (0)201 212 205
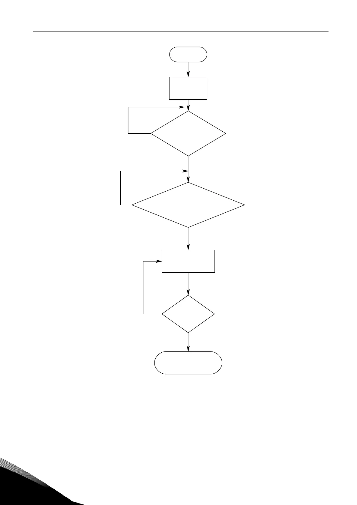
Init
Software Init
complete
Ready to
switch on
Ready to Run
(Ready led is on)
Yes
No
RunEnable from I/O (P2.2.1.3)
or fieldbus (MCW,bit 1)
Fault?
Yes
Yes
No
No
DC link voltage
OK?
BCU Running
(Run led is on)
Figure 2. Start-up sequence