EasyManua.ls Logo

Viessmann Vitodens 300 - Page 86

Viessmann Vitodens 300
132 pages
Print Icon
To Next Page IconTo Next Page
To Next Page IconTo Next Page
To Previous Page IconTo Previous Page
To Previous Page IconTo Previous Page
Loading...
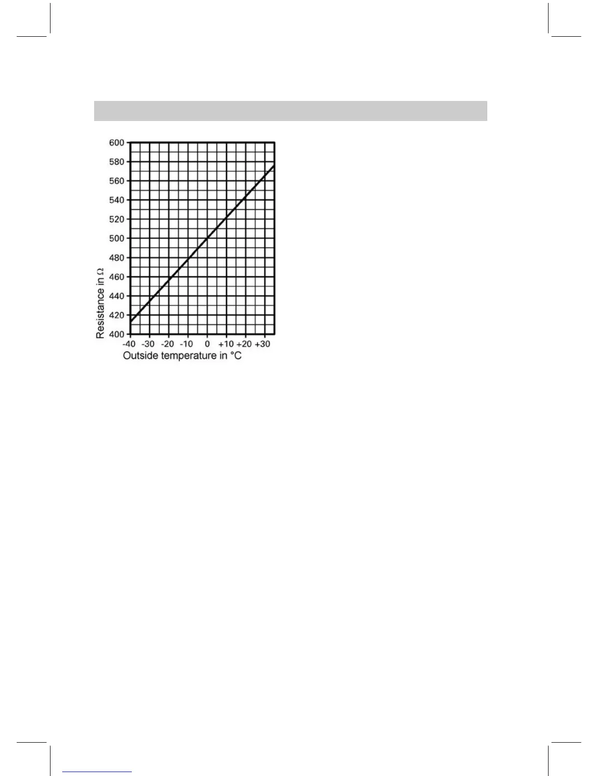
2. Test the resistance of the outside
temperature sensor across term-
inals X3.1 and X3.2 on the discon-
nected plug and compare with the
curve.
3. Where actual values strongly devi-
ate from the curve values, discon-
nect the wires at the sensor and
repeat test di rectly at the sensor.
4. Depending on the result, replace
cable or outsi de temperature se n-
sor.
Repairs (cont.)
86
Troubleshooting
5692 537 GB

Table of Contents

Other manuals for Viessmann Vitodens 300

Related product manuals