EasyManua.ls Logo

ViewSonic P90F - Troubleshooting Section 6

ViewSonic P90F
70 pages
Print Icon
To Next Page IconTo Next Page
To Next Page IconTo Next Page
To Previous Page IconTo Previous Page
To Previous Page IconTo Previous Page
Loading...
33
SECTION 6
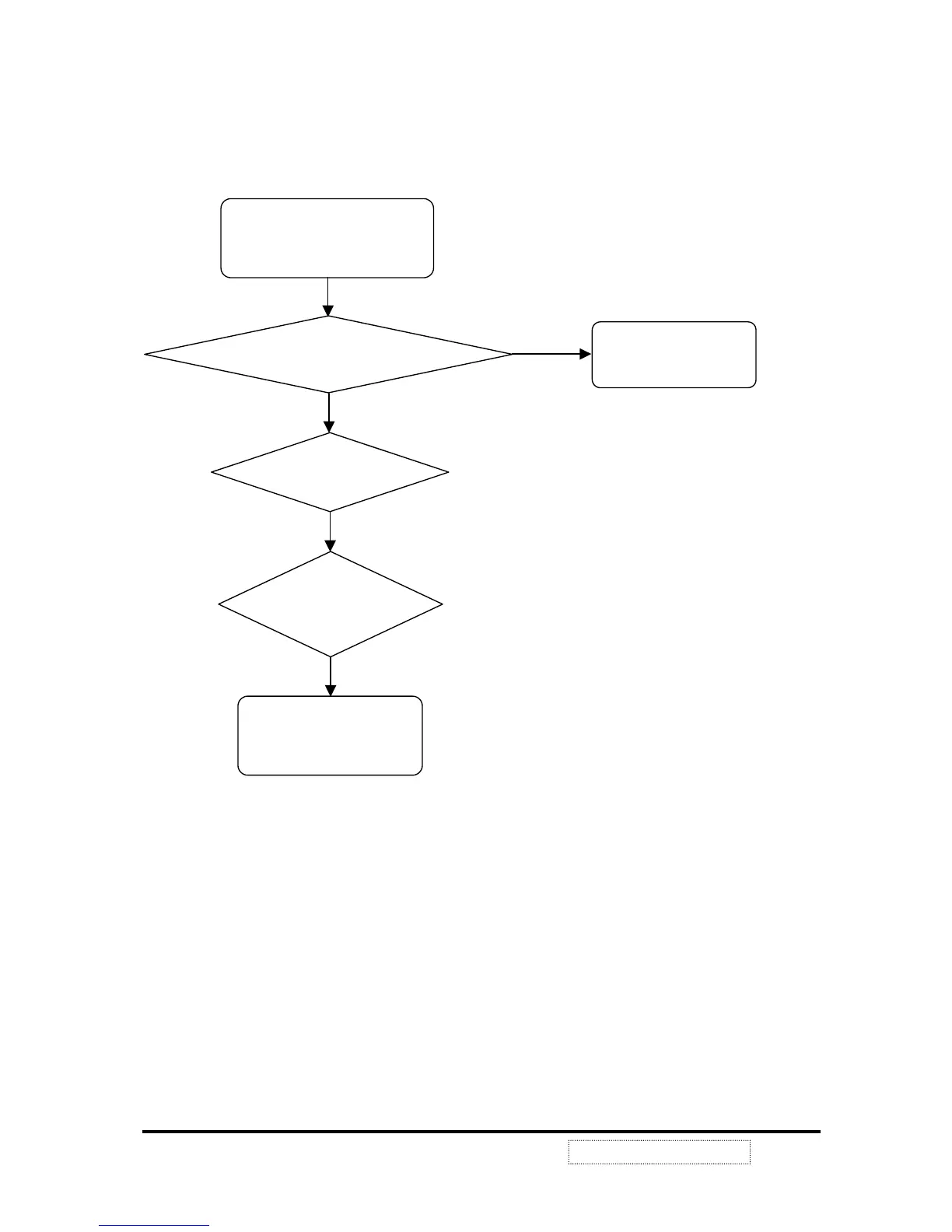
I310 Pin1,Pin7
Input proper ?
Pin 2 of I310 = 15V approx.
Pin4 of I310 = -15.V approx.
Display is Horizontal. Line,
(No Vertical. output)
Check SMPS DC
out
p
ut
Are there output
at pin 3,5 of
I301 ?
Check I301 AND
Peripheral CKT
YES
NO
NO
NO
ViewSonic Corporation
Confidential Do Not Copy
P90f-1

Other manuals for ViewSonic P90F

Related product manuals