EasyManua.ls Logo

Wilden PS8 - PS8 Metal Suction-Lift Curves

Wilden PS8
32 pages
Print Icon
To Next Page IconTo Next Page
To Next Page IconTo Next Page
To Previous Page IconTo Previous Page
To Previous Page IconTo Previous Page
Loading...
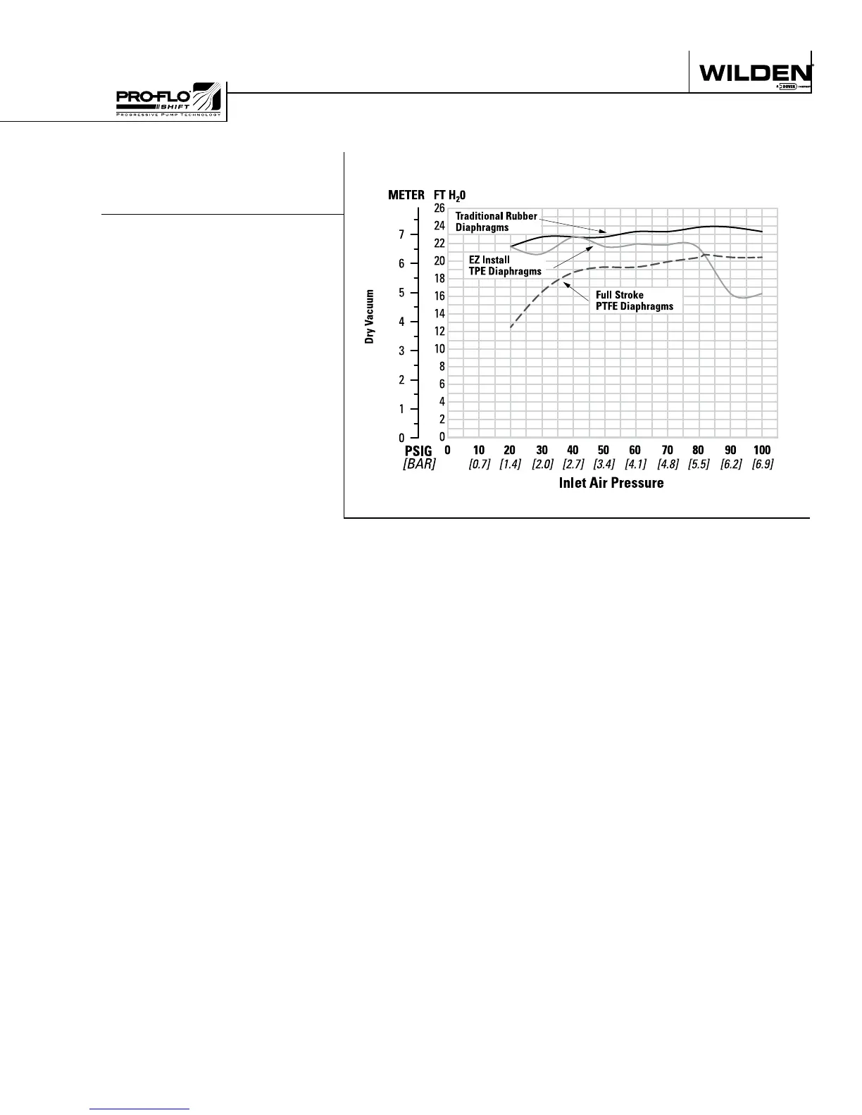
PS8 METAL
SUCTION-LIFT
CAPABILITY
Suction-lift curves are calibrated for
pumps operating at 305 m (1,000')
above sea level. This chart is meant
to be a guide only. There are many
variables that can affect your pump's
operating characteristics. The number
of intake and discharge elbows,
viscosity of pumping fluid, elevation
(atmospheric pressure) and pipe
friction loss all affect the amount of
suction lift your pump will attain.
SUCTION-LIFT CURVES
WIL-10410-E-05 7 WILDEN PUMP & ENGINEERING, LLC

Related product manuals