EasyManua.ls Logo

Yamato DKN810 - Installation Procedures; Power Supply and Receptacle Selection

Yamato DKN810
48 pages
Print Icon
To Next Page IconTo Next Page
To Next Page IconTo Next Page
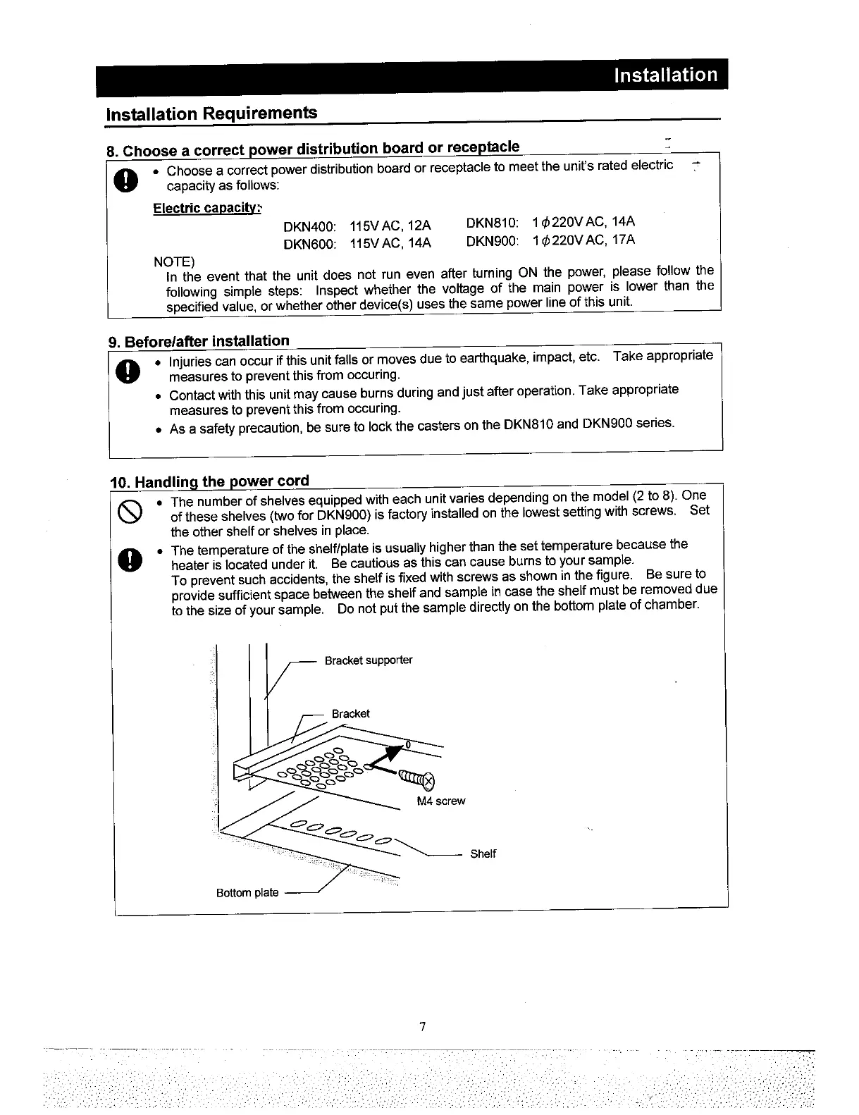
To Previous Page IconTo Previous Page
To Previous Page IconTo Previous Page
Loading...
All manuals and user guides at all-guides.com

Related product manuals