EasyManua.ls Logo

YOKOGAWA AXG005 - Page 10

YOKOGAWA AXG005
15 pages
Print Icon
To Next Page IconTo Next Page
To Next Page IconTo Next Page
To Previous Page IconTo Previous Page
To Previous Page IconTo Previous Page
Loading...
IM 01E21A03-01EN
8
<2. Explosion Protection Type>
8
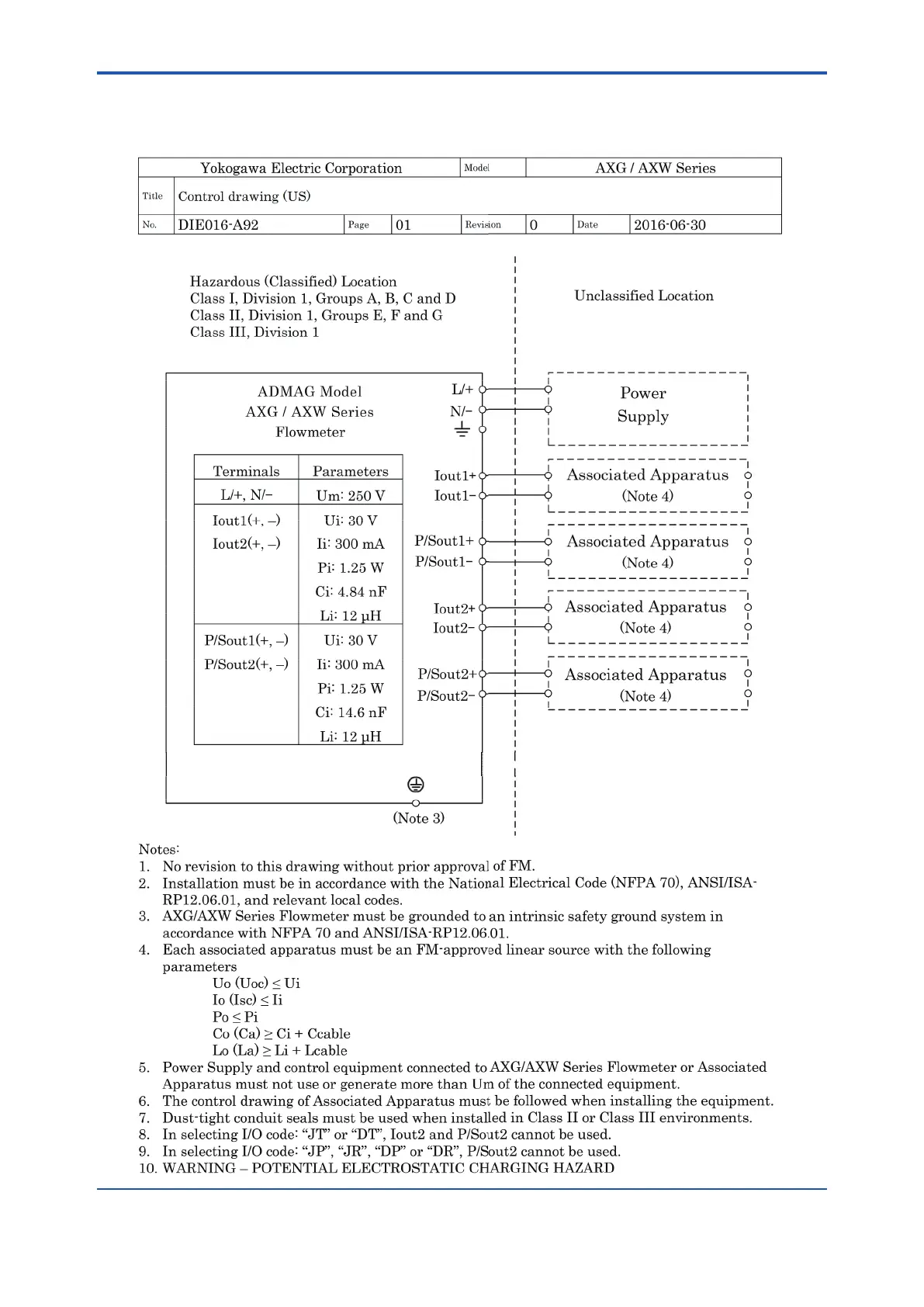
Read the Control Drawing.
All wiring shall comply with local installation requirements.
Integral Type Flowmeter (Explosion Protection Code: FJ2)
F0213.ai

Related product manuals