EasyManua.ls Logo

Zipro Flame - Page 132

Zipro Flame
Print Icon
To Next Page IconTo Next Page
To Next Page IconTo Next Page
To Previous Page IconTo Previous Page
To Previous Page IconTo Previous Page
Loading...
132
TRÉNINK A FÁZE CVIČENÍ
Používání trenažéru bude pro Vás velmi prospěšné. Především zlepší Vaši kondici, posílí svaly a ve spojení
s příslušnou dietou umožní spálit zbytečnou tukovou tkáň.
1. ROZCVIČKA
To je fáze, která zlepšuje proudění krve v celém těle a připravuje svaly na intenzivní námahu. Snižuje také
riziko vzniků křečí a úrazu. Doporučuje se provést několik protahovacích cviků, jak je uvedeno níž. Pokud
pocítíte bolest, přestaňte cvičit nebo zmenšete rozsah prováděného pohybu.
PROTAHOVACÍ CVIČENÍ:
PROTAHOVÁNÍ VNITŘNÍCH STEHENNÍCH SVALŮ
Posaďte se na rovném podkladu s ohnutýma nohama a s koleny směřujícími ven. Spojte chodidla a
přibližte je k tělu tak blízko, jak je to možné. Jemně stlačte kolena směrem k zemi a vydržte v této
poloze po dobu 15 sekund.
ROZTAHOVÁNÍ STEHEN
Posaďte se na rovném podkladu. Narovnejte pravou nohu a spodní stranu levého chodidla přiložte
k pravému stehnu. Natáhněte pravou ruku ve směru prstů pravé nohy tak daleko, jak je to možné.
Vydržte po dobu 15 sekund. Zopakujte činnost s levou nohou.
OTOČKY HLAVY
Držte hlavu rovně a dívejte se před sebe. Aniž byste pohybovali rameny, otočte hlavu doprava a
narovnejte zpět a následně doleva a narovnejte.
ZVEDÁNÍ RAMEN
Zvedněte levou ruku jak je to možné nahoru a vydržte po dobu několika sekund. Činnost zopakujte
s pravou rukou.
ROZTAHOVÁNÍ ACHILOVEK
Postavte se obličejem ke stěně, levou nohu vysuňte dopředu a mírně ohněte v koleně. Pravou držte
zezadu narovnanou, s patou položenou rovně na podkladu. Držte obě paty rovně na podkladu a
přitlačte boky směrem ke stěně. Udržujte tuto polohu po dobu 30 sekund. Zopakujte postup
s vysunutou pravou nohou. Pamatujte, abyste během cvičení neprohýbali záda do oblouku.
PŘEDKLONY
Postavte se se spojenými nohami. Proveďte předklon a snažte se při tom co nejvíce přiblížit hruď ke
kolenům. Vydržte 15 sekund. Pamatujte na to, abyste neohýbali kolena.
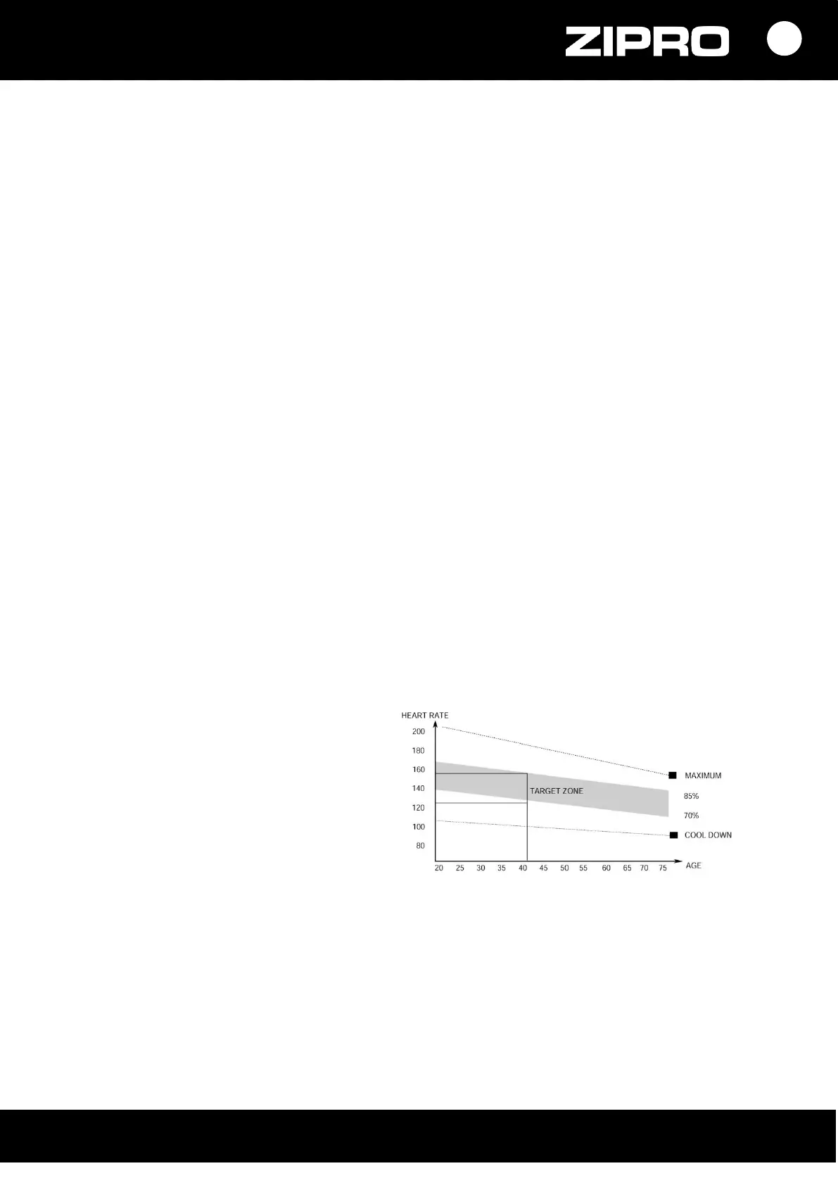
2. FÁZE CVIČENÍ
Toto je vlastní fáze tréninku. Cvičte vlastním
tempem tak, abyste dosáhli tep vhodný pro svůj
věk, jak je to uvedeno na následujícím grafu.
3. ODDECHOVÁ FÁZE
Tato fáze umožňuje uklidnit krevní oběh
a uvolnit svaly. Je to opakování rozcvičky.
Je třeba pamatovat na to, abyste nepřetěžovali
svaly.

Table of Contents

Related product manuals