EasyManua.ls Logo

Zipro Flame - Page 172

Zipro Flame
Print Icon
To Next Page IconTo Next Page
To Next Page IconTo Next Page
To Previous Page IconTo Previous Page
To Previous Page IconTo Previous Page
Loading...
172
HU
EDZÉS ÉS AZ EDZÉS FÁZISAI
Az eszköz használata számos előnnyel jár. Mindenekelőtt javítja az erőállapotodat, megerősíti az izmokat és
megfelelő diétával kiegészítve segít a felesleges zsírréteg elégetésében.
1. BEMELEGÍTÉS
Ez az a fázis, mely javítja a véráramlást és felkészíti az izmokat a fokozott erőkifejtésre. Csökkenti továbbá a
görcsök és a sérülések kockázatát. Javasolt néhány nyújtó gyakorlat elvégzése az alábbi ábra szerint. Ha
fájdalmat érzel, fejezd be az edzést vagy csökkentsd a mozgástartalmat.
NYÚJTÓGYAKORLATOK:
BELSŐ COMBIZMOK NYÚJTÁSA
Ülj le egy sík felületre behajlított lábakkal és kifelé néző térdekkel. Tedd egymáshoz a talpakat és
közelítsd magadhoz őket, amennyire csak tudod. Gyengéden nyomd a térdeidet a padló irányába és
15 másodpercig tartsd ebben a pozícióban.
COMBOK NYÚJTÁSA
Ülj le sík felületre. Egyenesítsd ki a jobb lábadat, míg a bal cipőtalpadat helyezd a jobb combodhoz.
Nyújtsd ki a jobb kezedet a jobb láb ujjai irányában, amennyire csak lehetséges. Tartsd így 15
másodpercig. Ismételd meg a gyakorlatot a bal lábaddal.
FEJ MOZGATÁSA
Tartsd egyenesen a fejedet előre nézve. A vállakat nem mozgatva forgasd el a fejedet jobbra, majd
vissza és forgasd el balra és vissza.
VÁLLAK MEGEMELÉSE
Emeld fel magasra a bal kezedet és tartsd magasban néhány másodpercig. Ismételd meg
a gyakorlatot a jobb kezeddel.
ACHILLLES-ÍNEK NYÚJTÁSA
Állj arccal a falnak, lépj előre a bal lábaddal és enyhén hajlítsd be a térdednél. A jobb lábadat tartsd
hátul - kiegyenesítve, sarokkal laposan a földön állva. Mindkét sarkadat tartsd laposan a talajon és
próbáld a fal felé előre nyomni a derekadat. Tartsd meg ezt a pozíciót 30 másodpercig. Ismételd
meg a gyakorlatot a jobb lábaddal. Ne feledd, hogy a gyakorlás során ne hajlítsd be a hátadat.
LEHAJOLÁS
Állj összetett lábakkal. Hajolj előre úgy, hogy a mellkasod a lehető legközelebb kerüljön a térdedhez.
Bírd ki 15 másodpercig. Vigyázz arra, hogy a gyakorlat közben ne hajlítsd be a térdedet.
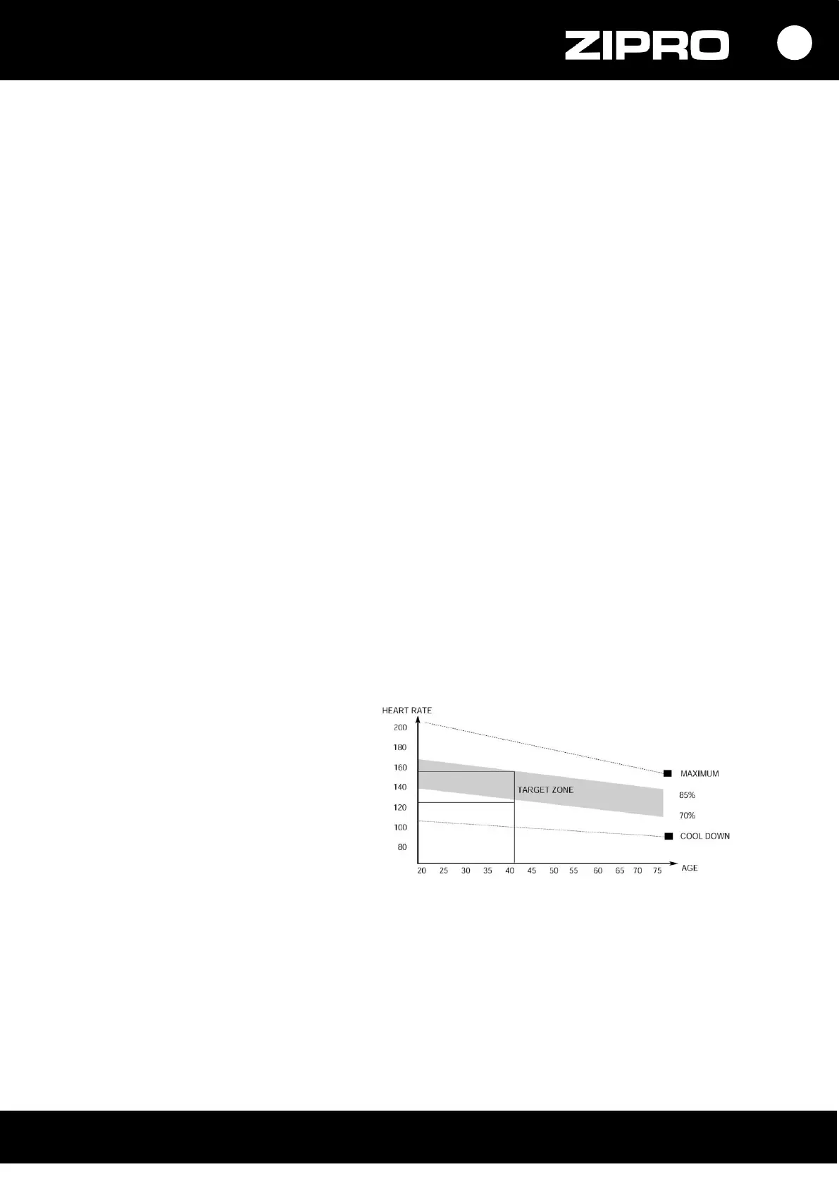
2. EDZÉS FÁZIS
Ez az edzés valódi része. Edz a saját
tempódban úgy, hogy elérd az életkorodnak
megfelelő pulzusszámot, lásd az alábbi
ábrát.
3. PIHENÉS FÁZIS
A pihenés során lenyugszik a vérkeringés és
ellazulnak az izmok. Ez a bemelegítő
gyakorlatok megismétlése. Ne feledd, hogy
ne feszítsd túl az izmokat.

Table of Contents

Related product manuals