EasyManua.ls Logo

Zipro Flame - Page 192

Zipro Flame
Print Icon
To Next Page IconTo Next Page
To Next Page IconTo Next Page
To Previous Page IconTo Previous Page
To Previous Page IconTo Previous Page
Loading...
192
BG
ТРЕНИРОВКИ И ФАЗИ НА ТРЕНИРОВКАТА
Използването на уреда ще Ви даде много ползи. На първо място - ще подобри състоянието Ви, ще
укрепи мускулите Ви и в комбинация с подходяща диета ще Ви позволи да изгорите ненужните
мазнини.
1. ЗАГРЯВАНЕ
Това е фаза, която подобрява кръвообращението в цялото тяло и подготвя мускулите за интензивни
упражнения. Освен това намалява риска от спазми и наранявания. Препоръчително е да изпълните
няколко упражнения за разтягане, както е показано по-долу. Ако усетите болка, спрете да тренирате
или намалете обхвата на движението.
РАЗТЯГАЩИ УПРАЖНЕНИЯ:
РАЗТЯГАВЕ НА ВЪТРЕШНИТЕ МУСКУЛИ НА БЕДРАТА
Седнете на равна повърхност със сгънати крака и колене, насочени навън. Допрете
стъпалата и ги приближете максимално към себе си. Внимателно натиснете коленете към
пода и ги задръжте в тази позиция 15 секунди.
РАЗТЯГАНЕ НА БЕДРАТА
Седнете на равна повърхност. Изправете десния крак, а стъпалото на левия крак допрете до
дясното бедро. Протегнете дясната ръка по посока на пръстите на десния крак възможно
най-далеч. Задръжте за 15 секунди. Повторете това и с левия крак.
ВЪРТЕНЕ НА ГЛАВАТА
Дръжте главата изправена и гледайте напред. Завъртете я надясно и обратно като държите
раменете неподвижни, а след това я завъртете наляво и обратно.
ПОВДИГАНЕ НА РАМЕНЕТЕ
повдигнете възможно най-високо лявата ръка и задръжте в продължение на няколко
секунди. Повторете това и с дясната ръка.
РАЗТЯГАНЕ НА АХИЛЕСОВИТЕ СУХОЖИЛИЯ
Застанете с лице към стената, поставете левият крак напред и леко сгънете в коляното.
Десният крак трябва да остане назад - изправен, с пета, допираща пода. Дръжте двете пети
плоско на пода и притискайте бедрата по посока на стената. Задръжте в този позиция ок. 30
секунди. Повторете това и с поставен напред десен крак. Не забравяйте да държите гърба
изправен по време на упражненията.
НАКЛОНИ
Застанете със събрани крака. Направете наклон напред като се стремите да доближите
максимално гръдния кош към коленете. Задръжте за 15 секунди. Не забравяйте да не сгъвате
коленете.
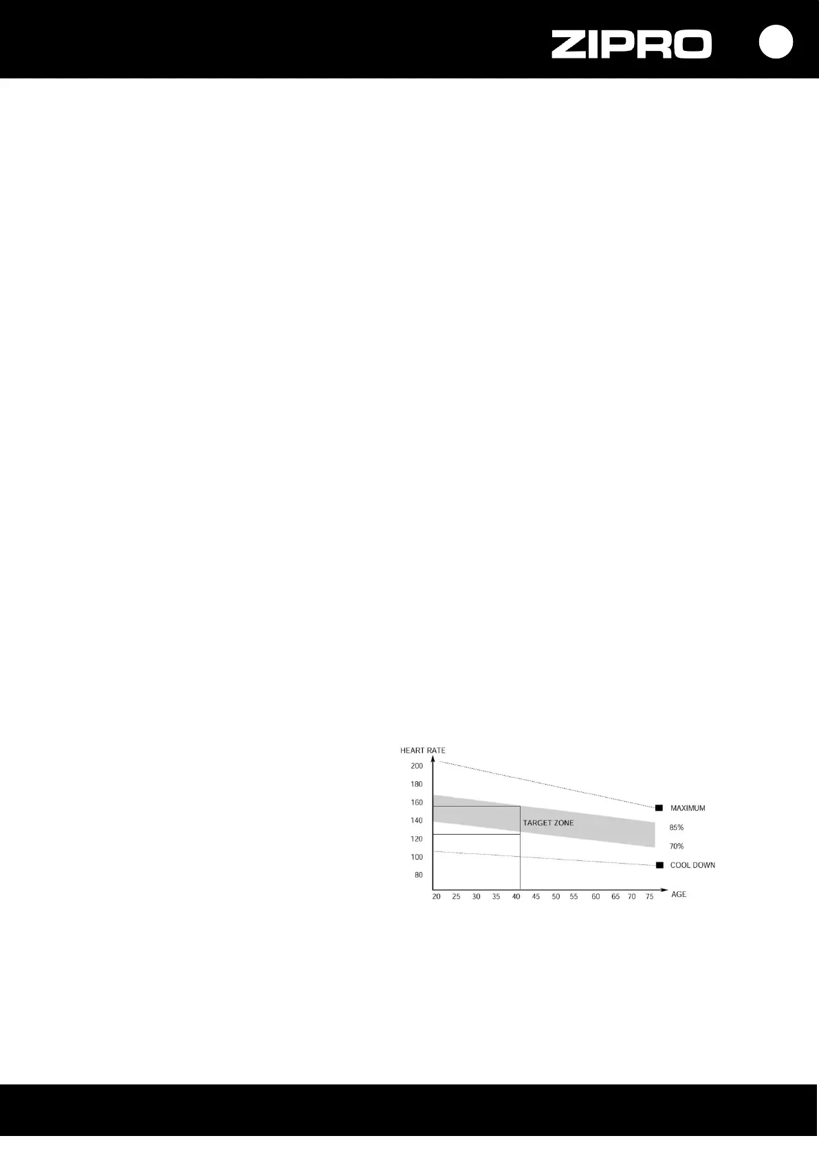
2. ФАЗА НА УПРАЖНЕНИЯТА
Това е същинската тренировка. Тренирайте
със собственото си темпо така, че да
постигнете съответен пулс за Вашата
възраст, както е показано върху графиката
по-долу.
3. ФАЗА НА ОТПУСКАНЕ
Тази фаза позволява да успокоите
кръвообращението и да отпуснете мускулите.
Това е повторение на упражненията за
загряване. Не бива да забравяте, че трябва да
внимавате да не претоварите мускулите.

Table of Contents

Related product manuals