EasyManua.ls Logo

Zipro Flame - Page 93

Zipro Flame
Print Icon
To Next Page IconTo Next Page
To Next Page IconTo Next Page
To Previous Page IconTo Previous Page
To Previous Page IconTo Previous Page
Loading...
93
RO
ANTRENAMENT ŞI FAZE EXERCIŢII
Utilizarea aparatului vă oferă multe beneficii. În primul rând condiţia dumneavoastră se va îmbunătăţi, se
vor întări muşcii, iar împreună cu o dietă corespunzătoare veţi putea arde ţesutul adipos în exces.
1. ÎNCĂLZIRE
Este faza care îmbunătăţeşte circulaţia sângelui în întreg corpul şi pregăteşte muşchii la un efort intens.
Reduce riscul de apariţie a crampelor şi de leziuni. Este indicat să efectuaţi câteva exerciţii de întindere cum
este indicat mai jos. În cazul în care simţiţi dureri încetaţi să faceţi exerciţii sau reduceţi amploarea mişcării
efectuate.
EXERCIŢII DE ÎNTINDERE:
ÎNTINDERE MUŞCHI INTERNI COAPSE
Aşezaţi-vă pe o suprafaţă plată cu picioarele îndoite şi genunchii îndreptaţi în exterior. Împreunaţi
tălpile picioarelor şi apropiaţi-le atât de tare cât este posibil. Apăsaţi uşor genunchii înspre podea şi
menţineţi în această poziţie timp de 15 secunde.
ÎNTINDERE COAPSE
Aşezaţi-vă pe o suprafaţă plată. Îndreptaţi piciorul drept şi aşezaţi talpa piciorului stâng pe coapsa
dreaptă. Trageţi mâna dreaptă în direcţia degetelor piciorului drept atât de departe pe cât posibil.
Rezistaţi timp de 15 secunde. Repetaţi activitatea cu piciorul stâng.
ROTIRE CAP
Ţineţi capul drept privind înainte. Fără a mişca braţele rotiţi-l la dreapta şi reveniţi, iar apoi rotiţi la
stânga şi reveniţi.
RIDICARE BRAŢE
Ridicaţi mâna stângă cât mai sus posibil şi ţineţi câteva secunde. Repetaţi activitatea cu mâna
dreaptă.
ÎNTINDERE TENDOANELE LUI AHILE
Staţi cu faţa la perete întindeţi piciorul stâng în faţă şi îndoiţi uşor genunchiul. Ţineţi piciorul drept
în spate îndreptat cu călcâiul plat pe podea. Ţineţi ambele călcâie plat pe podea şi împingeţi
şoldul înspre perete. Menţineţi această poziţie timp de 30 secunde. Repetaţi activitatea cu piciorul
drept întins. Reţineţi că nu trebuie să arcuiţi spatele pe durata exerciţiului.
EXTENSII
Staţi cu picioarele apropiate. Aplecaţi-vă în faţă încercând să apropiaţi cât mai tare posibil cutia
toracică de genunchi. Rezistaţi timp de 15 secunde. Reţineţi că nu trebuie să îndoiţi genunchii.
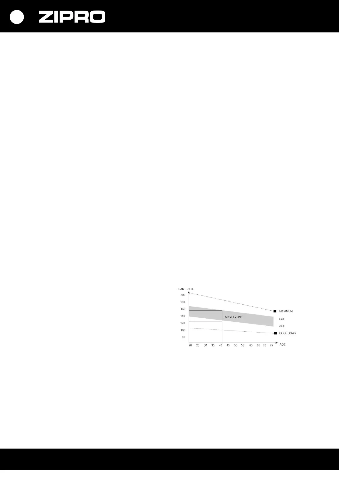
2. FAZĂ EXERCIŢII
Aceasta este faza propriu-zisă a antrenamentului.
Antrenaţi-vă în propriul ritm astfel încât să atingeţi
pulsul adecvat pentru vârsta dumneavoastră cum este
indicat în diagrama de mai jos.
3. FAZĂ RELAX
Această fază vă permite să liniştiţi circulaţia şi să
relaxaţi muşchii. Constă în repetarea exerciţiilor
de încălzire. Trebuie să aveţi grijă să nu suprasolicitaţi
muşchii.

Table of Contents

Related product manuals